98 БАЛЛОВ! Упростите логическое уравнение по информатике

Приложения:

Ответы

Ответ дал: Сергей2407
0
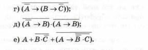
г)
not(A+not(B)+not(C)=not(A)*B*C

д)
not(A+B)*not(not(A)+B)=not(A)*not(B)*A*not(B)=A*not(A)*not(B)=0

е)
A+not(B)+C+not(not(A)+B+not(C))=A+not(B)+C+A+not+(B)+C=A+not(B)+C
Ответ дал: Аноним
0
А как насчет е) )))
Ответ дал: Сергей2407
0
я случайно промазал и отправил ответ)
Ответ дал: Аноним
0

displaystyle 1)quad overline{overline A to (B to overline C))}=overline {A+(overline B+overline C)}=overline ABC\ \2)quad overline {(overline Ato B)}cdotoverline{(Ato B)}=overline{A+B+overline A+B}=overline 1=0\ \3) quad A+overline{Boverline C}+overline{Atooverline{overline BC}}=A+overline B+C+overline{overline A+B+overline C}=\ \A+overline B+C+Aoverline BC=A(1+overline BC)+overline B+C=A+overline B+C

Вас заинтересует