• Предмет: Алгебра
  • Автор: lika7859
  • Вопрос задан 8 лет назад

помогите пожалуйста решить. желательно все подробно.

Приложения:

Ответы

Ответ дал: гюйс
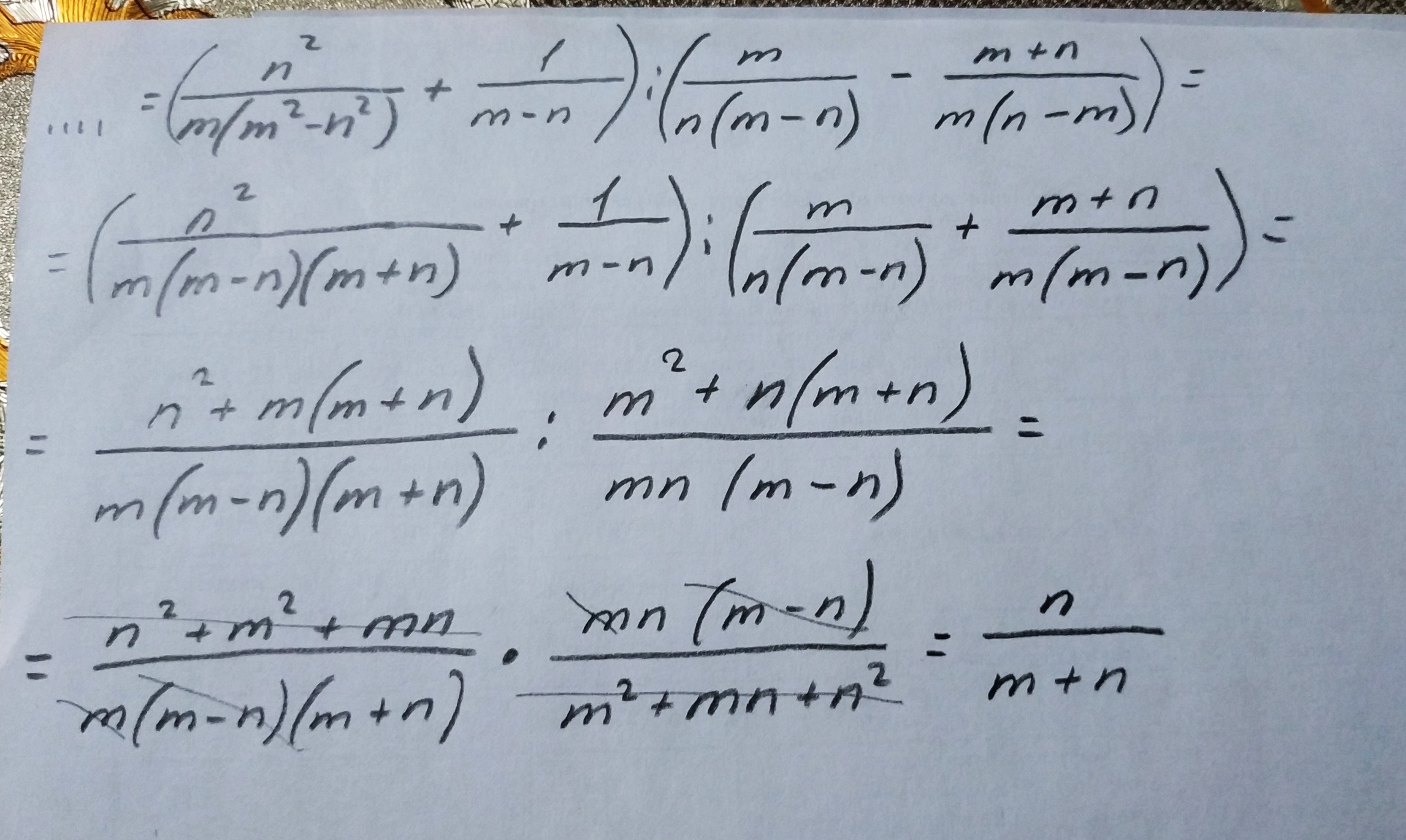
0

.................................................


Приложения:
Ответ дал: lika7859
0
спасибо
Ответ дал: гюйс
0
во второй скобке минус меняем плюс, т.к. под дробью меняем местами буквы.
Ответ дал: lika7859
0
нам пррсто говорят по лействиям делать и меня смутил минус. так оказывается все веоно сделала :)
Ответ дал: lika7859
0
просто*действиям*верно*
Ответ дал: vportmanzp61dyh
0
Здравствуйте,
Помогите решить пожалуйста https://znanija.com/task/30451165
Вас заинтересует