• Предмет: Математика
  • Автор: lelyaborisova1976
  • Вопрос задан 8 лет назад

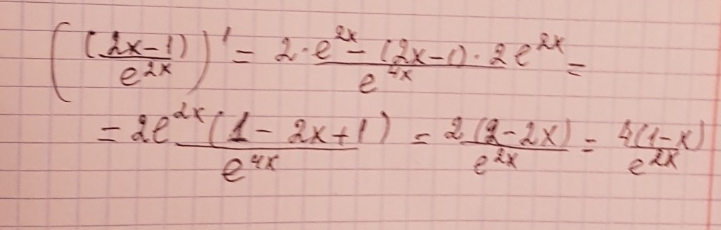
Решить производную ((2х-1)/(е^2х))

Ответы

Ответ дал: 1233090
0
решение задания смотри на фотографии
Приложения:
Вас заинтересует