• Предмет: Алгебра
  • Автор: kaioe
  • Вопрос задан 8 лет назад

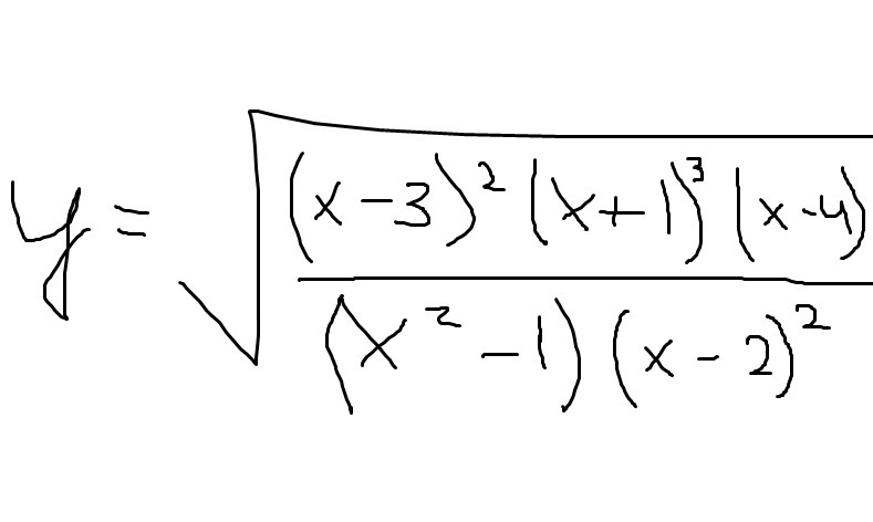
Найдите область определения функции

Приложения:

Ответы

Ответ дал: m11m
0

!!!!!!!!!!!!!!!!!!!!!!!!!!!

Приложения:
Ответ дал: N777A
0

1)Находим все значения x, при которых обнуляется хотя бы одна скобка:

x= 3, -1, 4, 1, 2;

2) При этом, значения x для знаменателя нам не подходят:

x≠-1, 1, 2

3)Изображаем числовую прямую(см. приложение), на которой отмечаем все найденные значения x, при этом выкалывая значения из п.2

4) Определяем знак функции на каждом интервале между точками (для этого нужно подставить в уравнение любое число из интервала)

Так как всё выражение под корнем, значение функции должно быть положительно, либо равно нулю. Отсюда имеем, что x∈(-∞;-1)∪(-1; 1)∪{3}∪[4; +∞);

Ответ: x∈(-∞;-1)∪(-1; 1)∪{3}∪[4; +∞).

Приложения:
Вас заинтересует