Ответы
Ответ дал:
0
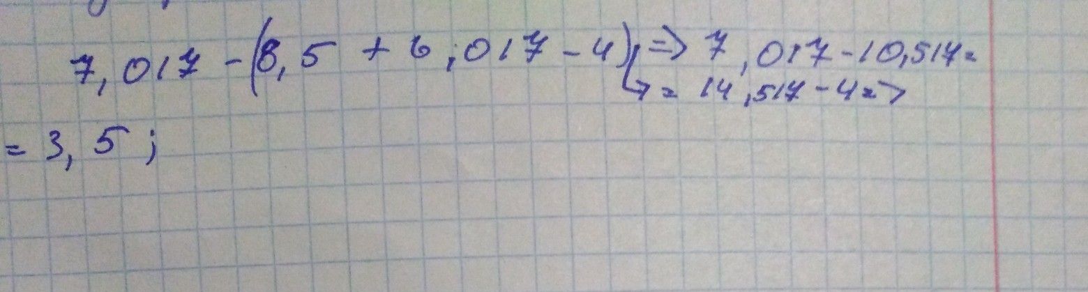
ответ будет 3,5 изи изи
Ответ дал:
0
7,017-6,017 =1
Ответ дал:
0
1-4,5=3,5
Ответ дал:
0
спасибо
Ответ дал:
0
Пожалуйста держите ваш ответ
Приложения:

Ответ дал:
0
спасибо)
Ответ дал:
0
за что?
Ответ дал:
0
за решение
Ответ дал:
0
аа не зачто
Ответ дал:
0
:)
Вас заинтересует
3 года назад
9 лет назад
9 лет назад
9 лет назад