Ответы
Ответ дал:
0
А я использовал paint
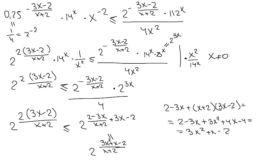
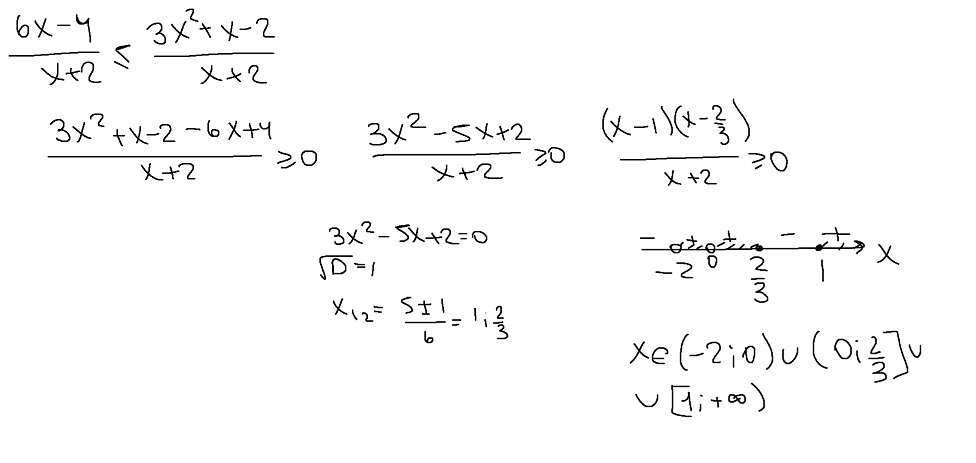
Приложения:


Ответ дал:
0
Спасибо огромное! ❤️
Вас заинтересует
2 года назад
2 года назад
9 лет назад