Ответы
Ответ дал:
0
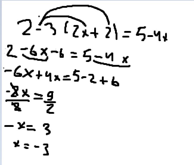
2-6x-6=5-4x
-6x+4x=5+6-2
-2x=9
2x=-9
x= -9/2
x= -4,5
такое должно быть решение
-6x+4x=5+6-2
-2x=9
2x=-9
x= -9/2
x= -4,5
такое должно быть решение
Вас заинтересует
2 года назад
3 года назад
3 года назад
9 лет назад
10 лет назад
10 лет назад