Ответы
Ответ дал:
0
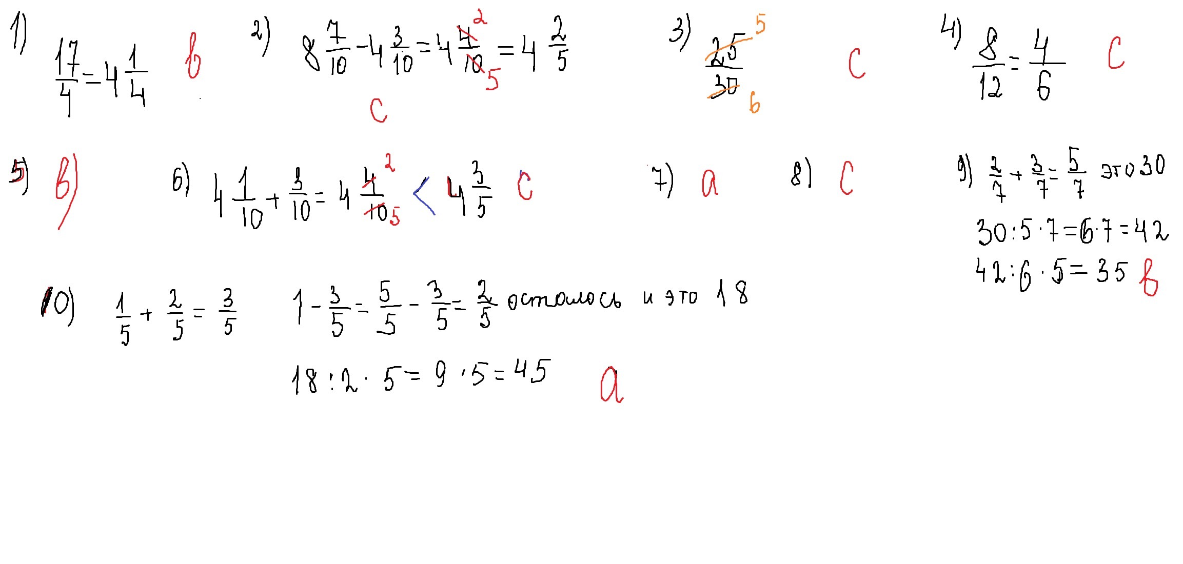
ответы смотрите внизу с кратким решением.
Приложения:

Ответ дал:
0
Молодец!!!!!!
Ответ дал:
0
Благодарю!!!!
Вас заинтересует
2 года назад
2 года назад
3 года назад
9 лет назад