• Предмет: Алгебра
  • Автор: karo35
  • Вопрос задан 8 лет назад

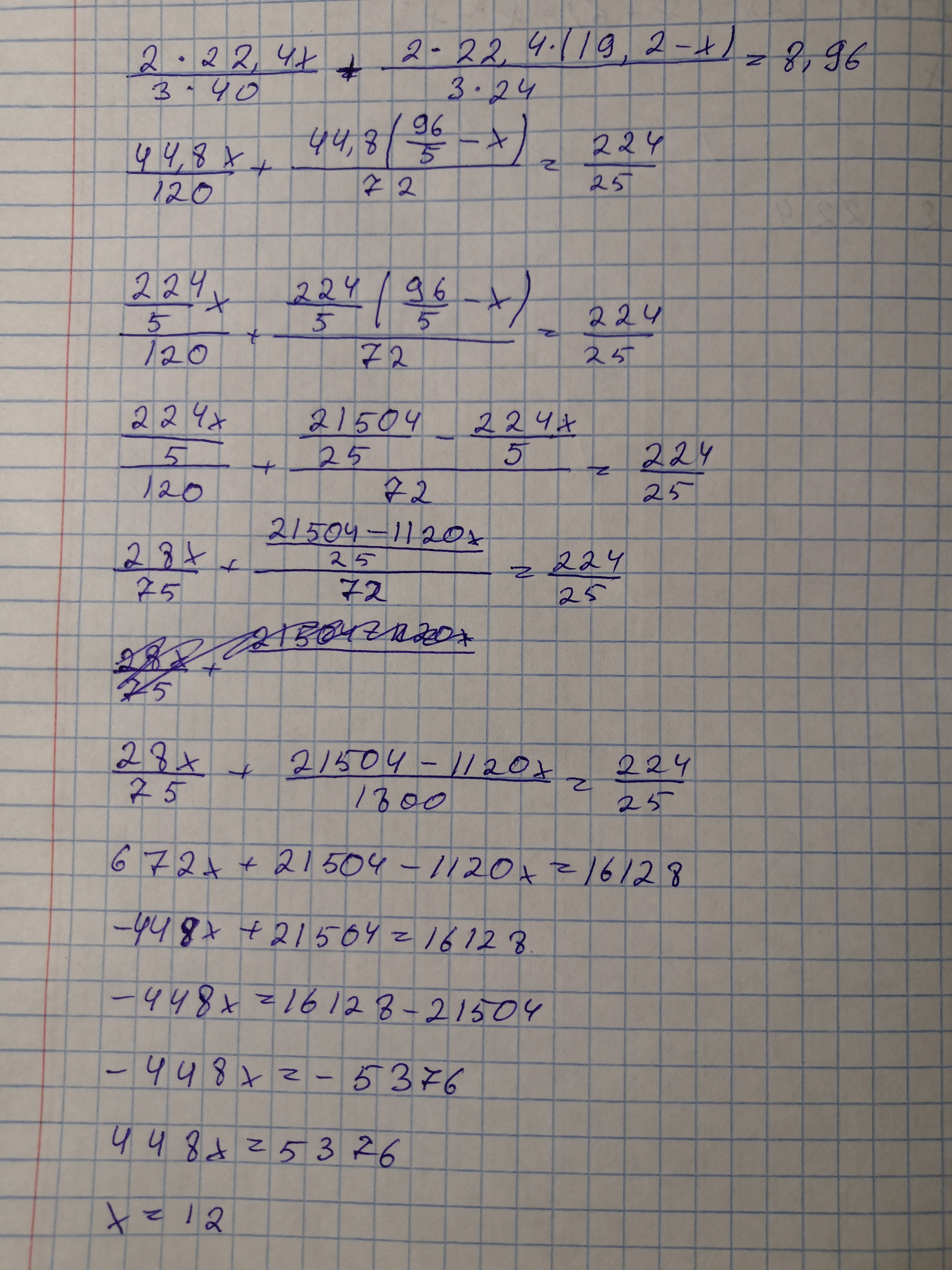
2•22,4x/3•40 + 2•22,4(19,2-x)/3•24 = 8,96 нужно решение уравнения,в ответе 12 должно выйти

Ответы

Ответ дал: Mmarri
0

Может быть вот так, но я не уверена, что это правильно

Приложения:
Ответ дал: karo35
0
Вы конечно молодец, но забить пример в уравнения онлайн и я могу)
Вас заинтересует