Друзья! Прошу вашей помощи!
Задача по алгебре, за 9 кл. Автор: Мордкович.
Помогите составить таблицу к данной задаче:
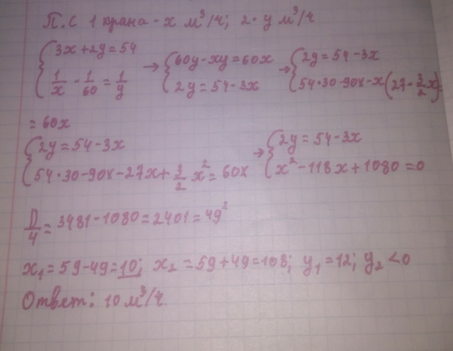
Аквариум объёмом 54 м³ заполняется при помощи двух кранов. При этом первый кран работает 3 ч., а второй - 2 ч. Какова пропускная способность первого крана, если 1 м³ он заполняет на 1 мин. медленнее, чем второй?
За правильное решение - 10 баллов! Заранее спасибо.
Ответы
Ответ дал:
0
Решение на фото......
П.С - Пусть.
П.С - Пусть.
Приложения:
Вас заинтересует
2 года назад
2 года назад
3 года назад
9 лет назад
9 лет назад
10 лет назад