Ответы
Ответ дал:
0
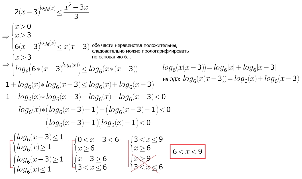
основание показательной функции (по определению) число положительное... х-3 > 0
Приложения:

Ответ дал:
0
Ответ [6,9] + 3
Ответ дал:
0
Хотя извините вы всё правильно решили ,отпечатка в самой книге
Ответ дал:
0
x=3 получается правильно ;это корень
Ответ дал:
0
для показательной функции (а в степени икс) основание не может быть равным нулю...
Ответ дал:
0
там равенства есть
Вас заинтересует
2 года назад
3 года назад
9 лет назад
9 лет назад
9 лет назад