• Предмет: Математика
  • Автор: ololo971
  • Вопрос задан 8 лет назад

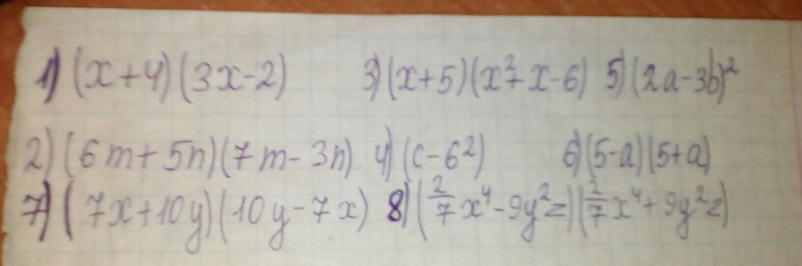
переведите в многочлен 7 и 8

Приложения:

Ответы

Ответ дал: zhenyazhukova2611
0

7) (7x + 10y)×(10y - 7x) = 70xy - 49x² + 100y² - 70xy = 100y² - 49x²

8) (2/7x⁴ - 9y²z)×(2/7x⁴ + 9y²z) = (2/7x⁴)² - (9y²z)² = 4/49x^8 - 81y⁴z²

Вас заинтересует