• Предмет: Математика
  • Автор: emmastriletska16
  • Вопрос задан 8 лет назад

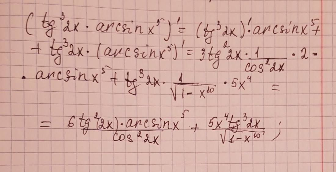
Помогите решить производную tg^3 2x *arcsin x^5,плачу 30 б

Ответы

Ответ дал: 1233090
0
решение задания смотри на фотографии
Приложения:
Вас заинтересует