Прошу с объяснениями, пожалуйста)
Груз, привязанный к нити, описывает в горизонтальной плоскости окружность диаметром 80 см. Нить образует с вертикалью угол 45 градусов. Определить линейную и угловую скорости движения груза
Ответы
Ответ дал:
0
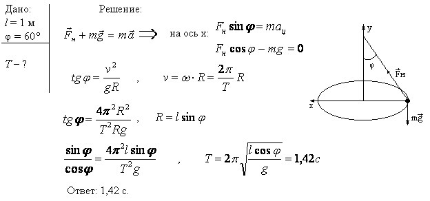
как найти период обращения возмем из разобранной задачи см. картинку, нас интересует только конечная формула Т=...
тогда
υ=2πR/T (длна нити по теореме Пифагора l=R/sinα)
υ=2πR/(2π√(ctgα*(R/g))) = 2м/с
ω=2π/Т
ω=1/(√(R/g))=5рад/с
Приложения:

Вас заинтересует
2 года назад
2 года назад
3 года назад
9 лет назад
9 лет назад
9 лет назад
9 лет назад