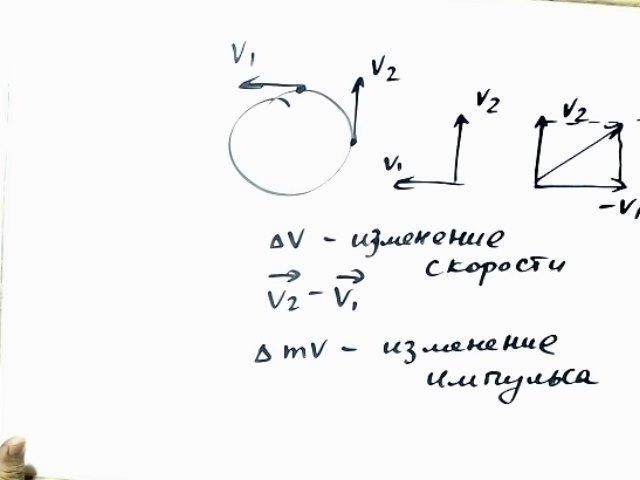
Тело массой m движется равномерно по окружности в направлении, ука-занном на рисунке, со скоростью υ. Модуль и направление изменения им-пульса тела при его перемещении из точки 1 в точку 2 равно
Приложения:

Ответы
Ответ дал:
0
импульс -векторная величина
изменение импульса по направлению получается птавильным в 3 ответе
Приложения:


Ответ дал:
0
А можно , разъяснить ,пожалуйста?
Ответ дал:
0
А такой вопрос, а как появляется корень из двух?
Вас заинтересует
2 года назад
2 года назад
3 года назад
3 года назад
9 лет назад
9 лет назад
9 лет назад