• Предмет: Алгебра
  • Автор: kashtnMR01
  • Вопрос задан 8 лет назад

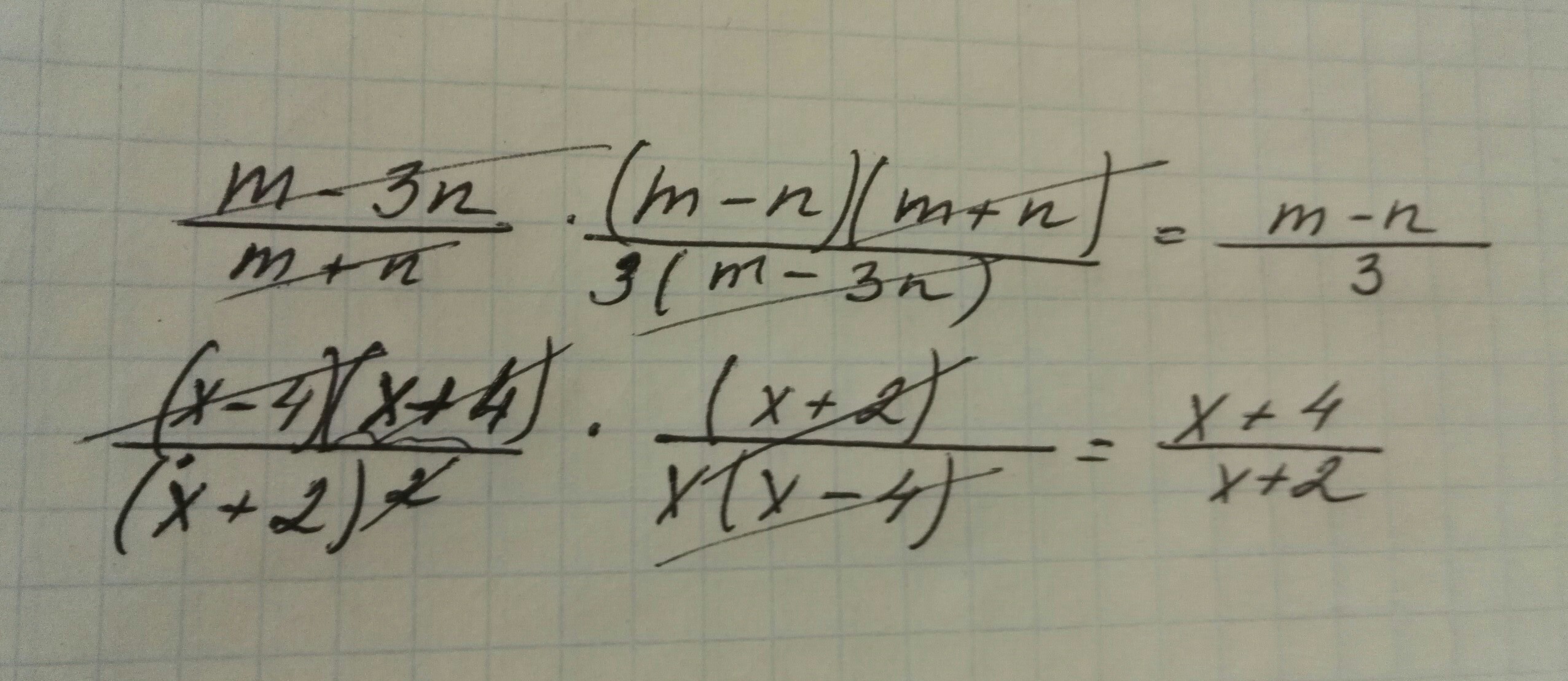
СРОЧНО!!!!!!!!!!!!!!!!!!!!!!!!!!!!!!!!

Приложения:

Ответы

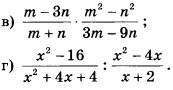
Ответ дал: lena25073
0
решение на фото. Где подчеркнуто, там не надо сокращать
Приложения:
Вас заинтересует