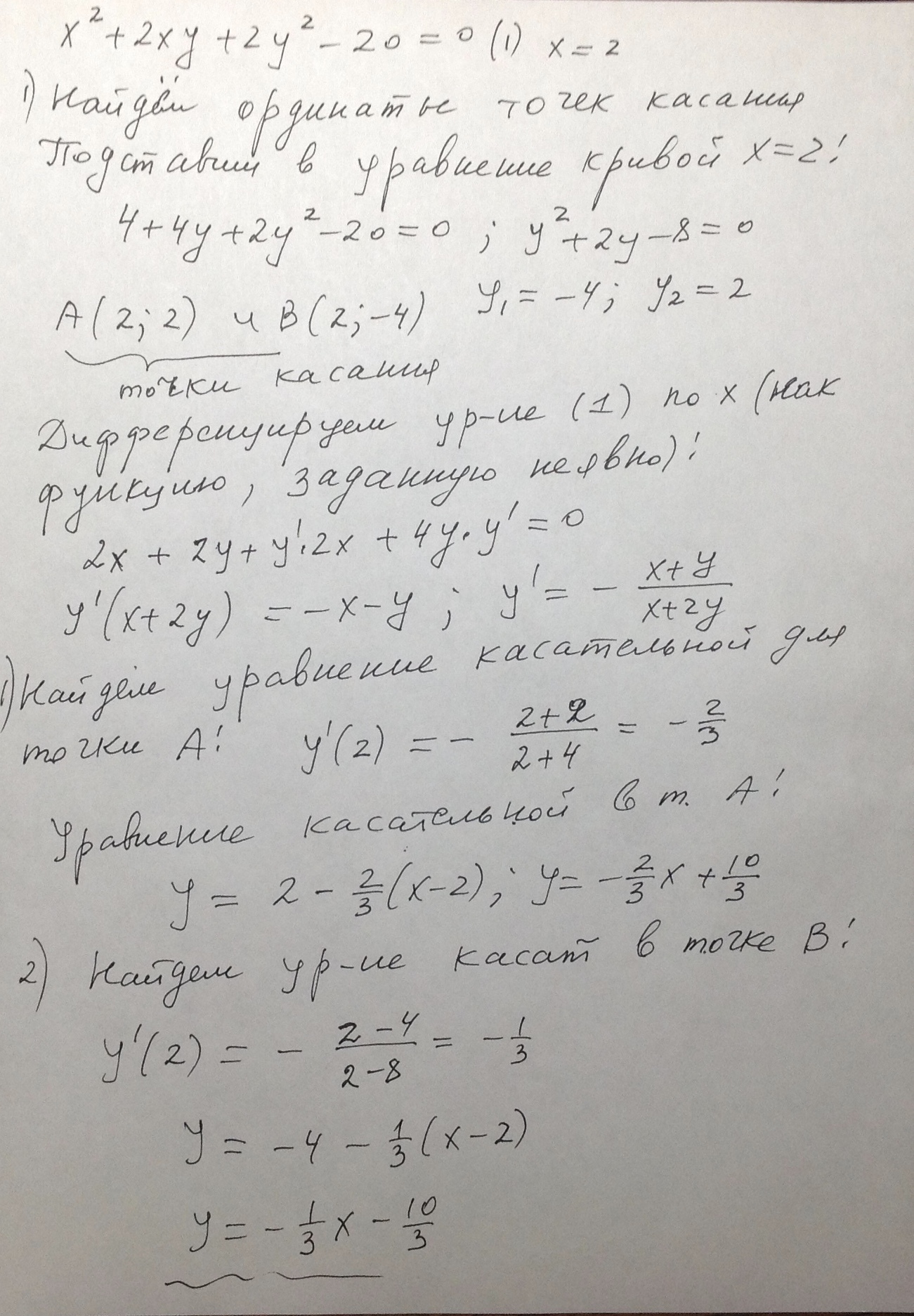
найти угол под которым пересекаются касательные к кривой x^2+2xy+2y^2-20=0 проведённые в точках с абсциссой x=2
Ответы
Ответ дал:
0
Использовал дифференцирование функции , заданной неявно , надеюсь , что вы не в школе учитесь
Приложения:


Ответ дал:
0
Спасибо! Очень понятное расписано!
Вас заинтересует
2 года назад
3 года назад
9 лет назад
9 лет назад
9 лет назад