• Предмет: Алгебра
  • Автор: kashtnMR01
  • Вопрос задан 8 лет назад

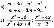
Срочно 2 примерчик)
ООчень надо)))

Приложения:

Ответы

Ответ дал: N777A
0
 frac{{x}^{2} - 16 }{ {x}^{2} + 4x + 4 } times frac{x + 2 }{ {x}^{2} - 4x } = frac{(x - 4)(x + 4) }{ {(x + 2)}^{2} } times frac{x + 2 }{ x(x - 4) } = frac{x + 4}{x(x + 2) }
Вас заинтересует