• Предмет: Алгебра
  • Автор: evgenia1354
  • Вопрос задан 8 лет назад

Срочно!Помогите решить задание!Желательно на бумаге.Пожалуйста!

Приложения:

Ответы

Ответ дал: parus77
0

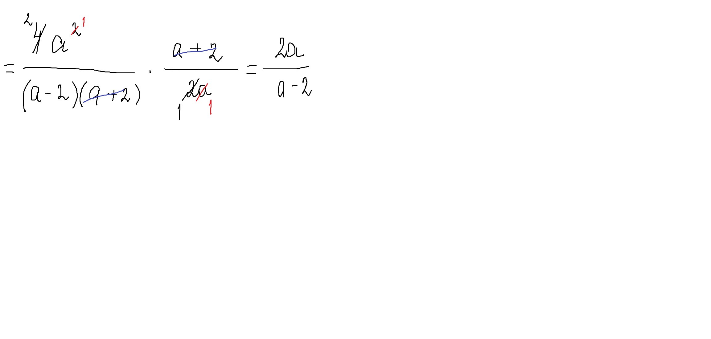
смотри решение внизу    

Приложения:
Ответ дал: todoinfection
0
Там же 4×a^2 и a+2 разве так можно сокращать?
Ответ дал: todoinfection
0
И a-2 и a×2 это не одно и тоже
Ответ дал: todoinfection
0
Многочлены разрывать нельзя там нужно умножить часлитель на часлитель, знаменатель на знаменатель
Ответ дал: parus77
0
там ,то что и с чем сокращается вычеркивается одним цветом.(4 и 2;а+2 и а+2, а в квадрате и а)
Ответ дал: todoinfection
0
Аааа сорян
Ответ дал: todoinfection
0

4a^2/a^2-4×a+2/2a

Сократив 4a^2 и 2а получим

2/a^2-4×a+2/2a

a^2-4 представим как (а-2)(а+2) и сократив а+2 на а+2

Получим

2/a-2


Приложения:
Вас заинтересует