Ответы
Ответ дал:
0
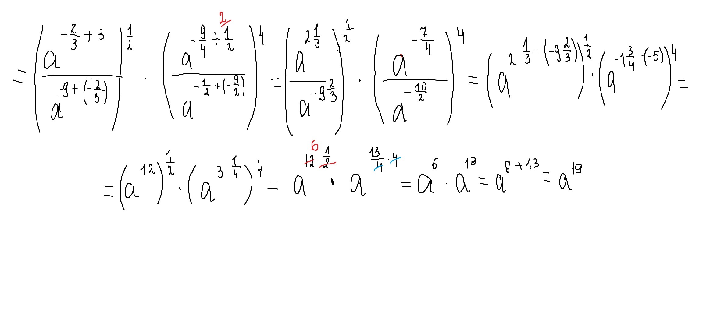
решение смотри внизу
Приложения:

Ответ дал:
0
https://znanija.com/task/30463422
Вас заинтересует
3 года назад
3 года назад
9 лет назад
9 лет назад