Ответы
Ответ дал:
0
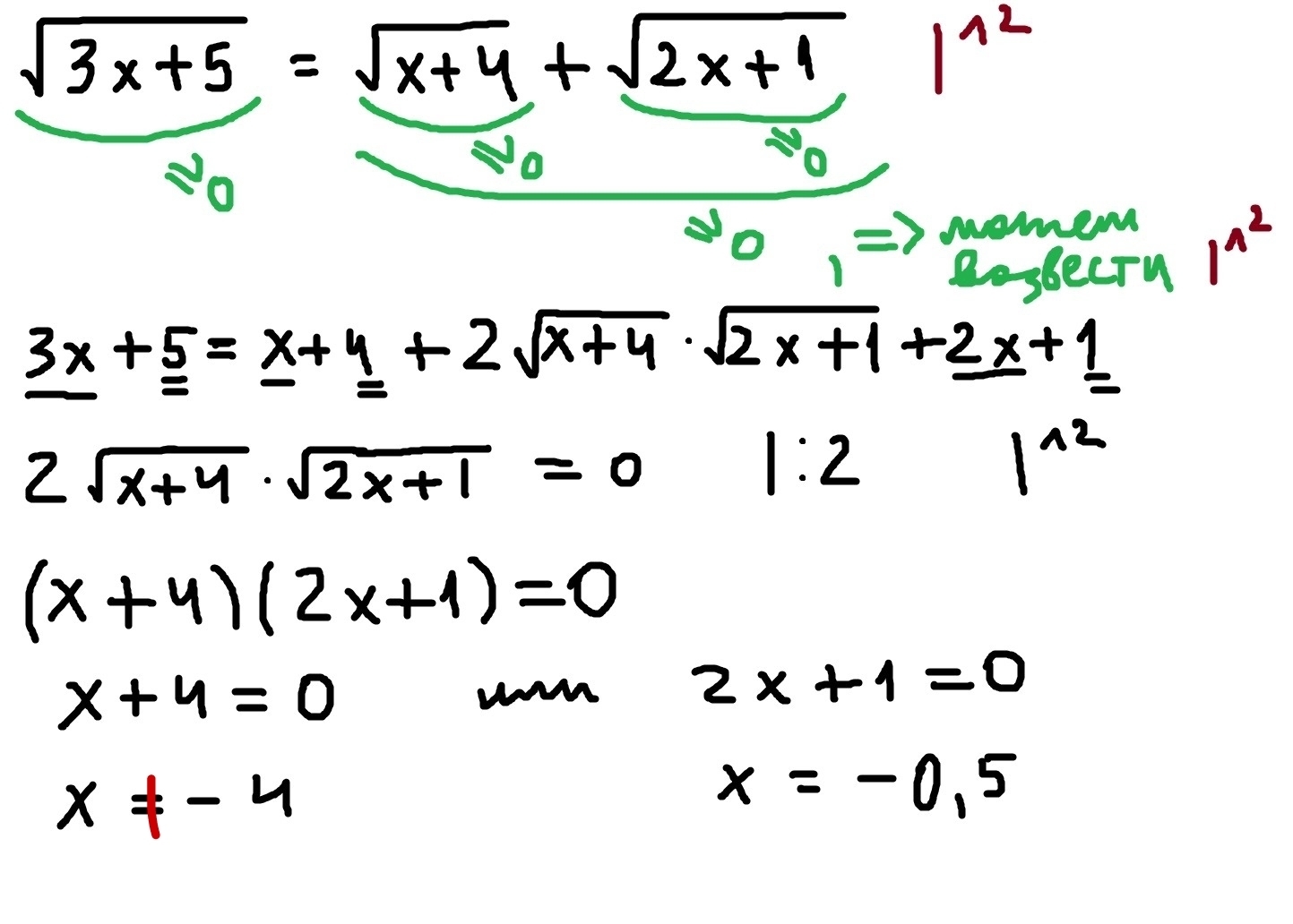
ответ: x = -0,5
Решение приведено на фото
Приложения:


Ответ дал:
0
Нужно писать, что подкоренное выражение больше или равно нуля
Ответ дал:
0
При проверке -4 подходит же?
Ответ дал:
0
Нет
Ответ дал:
0
На 2 фото область допустимых значений X при которых уравнение имеет смысл, если взять X меньше -0.5, то какое нибудь из подкоренных выражений при подстановке будет отрицательным, в данном случае корни из 2 степени, а выражения под корнями четной степени(т.е 2,4,6,8 и тд) не могут быть отрицательными
Ответ дал:
0
Спасибо
Вас заинтересует
2 года назад
3 года назад
9 лет назад
9 лет назад
9 лет назад
9 лет назад