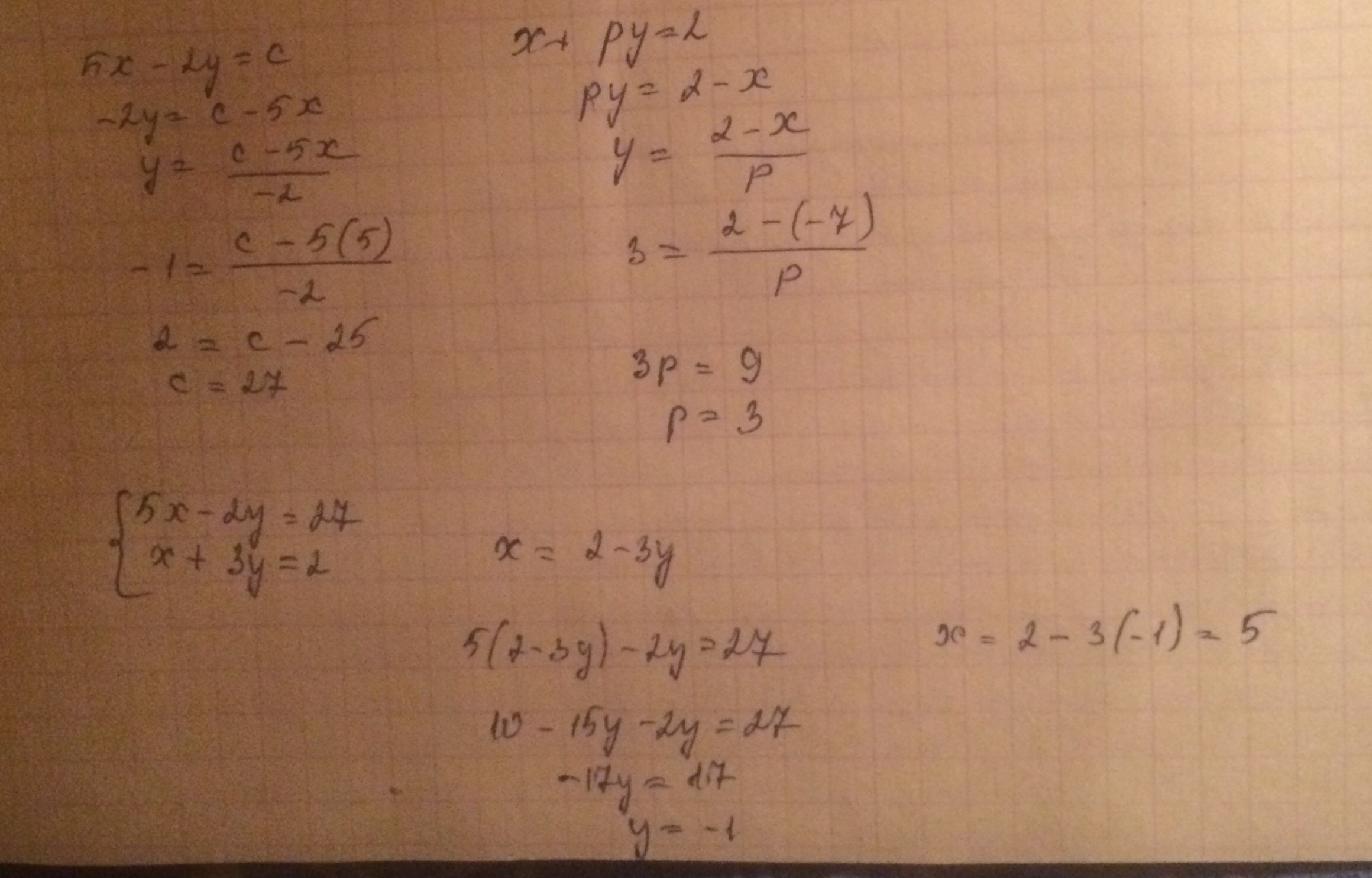
Найти координаты точки пересечения прямых 5х-2у=с и х+ру=2, зная, что первая прямая проходит через точку А(5;-1),а вторая-- через точку В(-7;3).
Помогите,пожалуйста!!!Срочно нужно
                        
                            
                            
                    Ответы
                                            Ответ дал: 
                                                                                    
                                        
                                            
                                                
                                                
                                                
                                                    0
                                                
                                            
                                        
                                    Подставляем координаты соответствующих точек в соответствующее уравнение и находим значение с и р. Затем решив систему уравнений находим общую точку, т.е. точку пересечения.
Приложения:
                     
                            Вас заинтересует
                
                        2 года назад
                    
                
                        3 года назад
                    
                
                        3 года назад
                    
                
                        9 лет назад
                    
                
                        9 лет назад
                    
                
                        9 лет назад
                    
                
                        9 лет назад