• Предмет: Алгебра
  • Автор: kristinaisova
  • Вопрос задан 8 лет назад

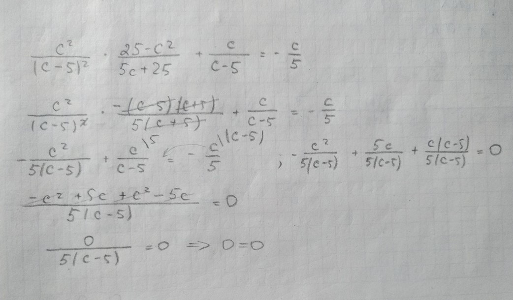
Доказать тождество:
Смотри картинку. Нужно очень срочно, мама скоро с работы придёт)

Приложения:

Ответы

Ответ дал: tupaannette
0

Решение на картинке. Чтобы доказать тождество, нужно выражение из правой части перенести влево. Получившееся выражение должно быть равно 0. Дальше максимально всё сокращаем. И последнее, частное от деления нуля на что-либо равно нулю. Тождество доказано

Приложения:
Вас заинтересует