• Предмет: Математика
  • Автор: irinav84
  • Вопрос задан 8 лет назад

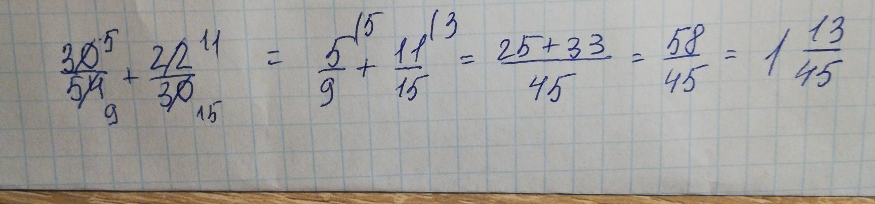
Предварительно сократив дроби, найдите значения выражения 30/54+22/30

Ответы

Ответ дал: tishkina02
0
Держи
.....................
Приложения:
Ответ дал: parus77
0

=30:654:6  + 22:230:2=59 +1115=5*59*5  + 11*315*3=

=2545 +3345=5845=1 1345

Приложения:
Вас заинтересует