• Предмет: Математика
  • Автор: GvoZZZdick
  • Вопрос задан 8 лет назад

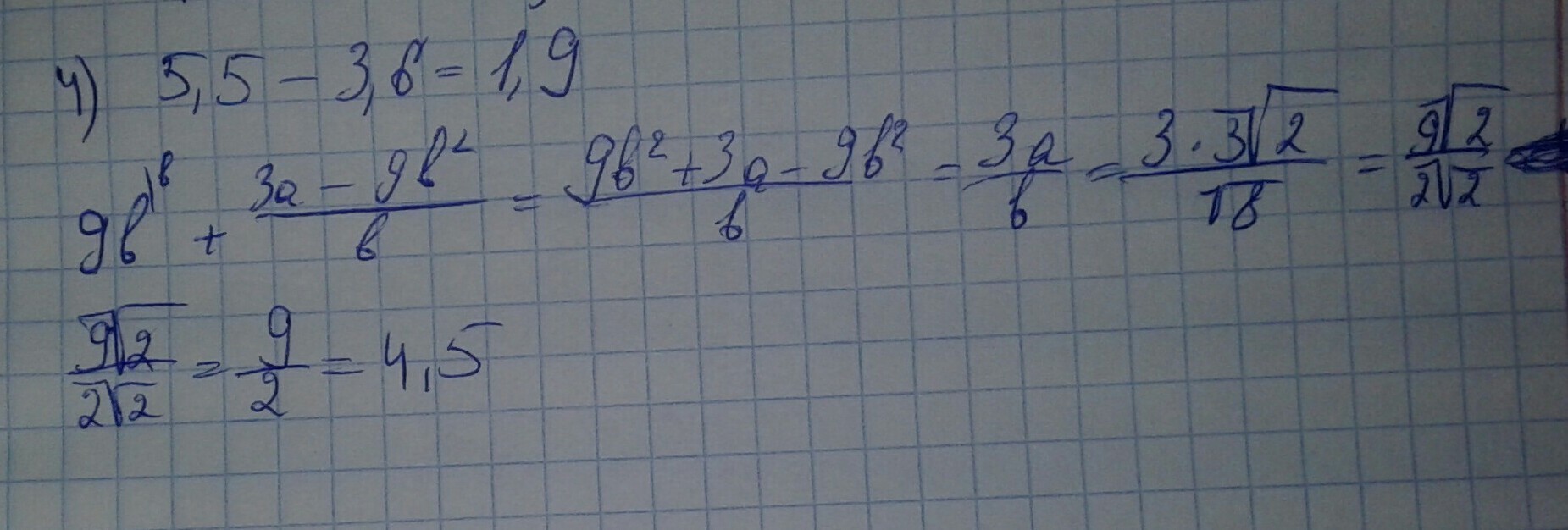
найдите значение выражения 9b+3a-9b^2/b при a=3√2 b=√8

Приложения:

Ответы

Ответ дал: 777cheburek777
0
решение на фотографии
Приложения:
Ответ дал: GvoZZZdick
0
спасиб спас
Вас заинтересует