Ответы
Ответ дал:
0
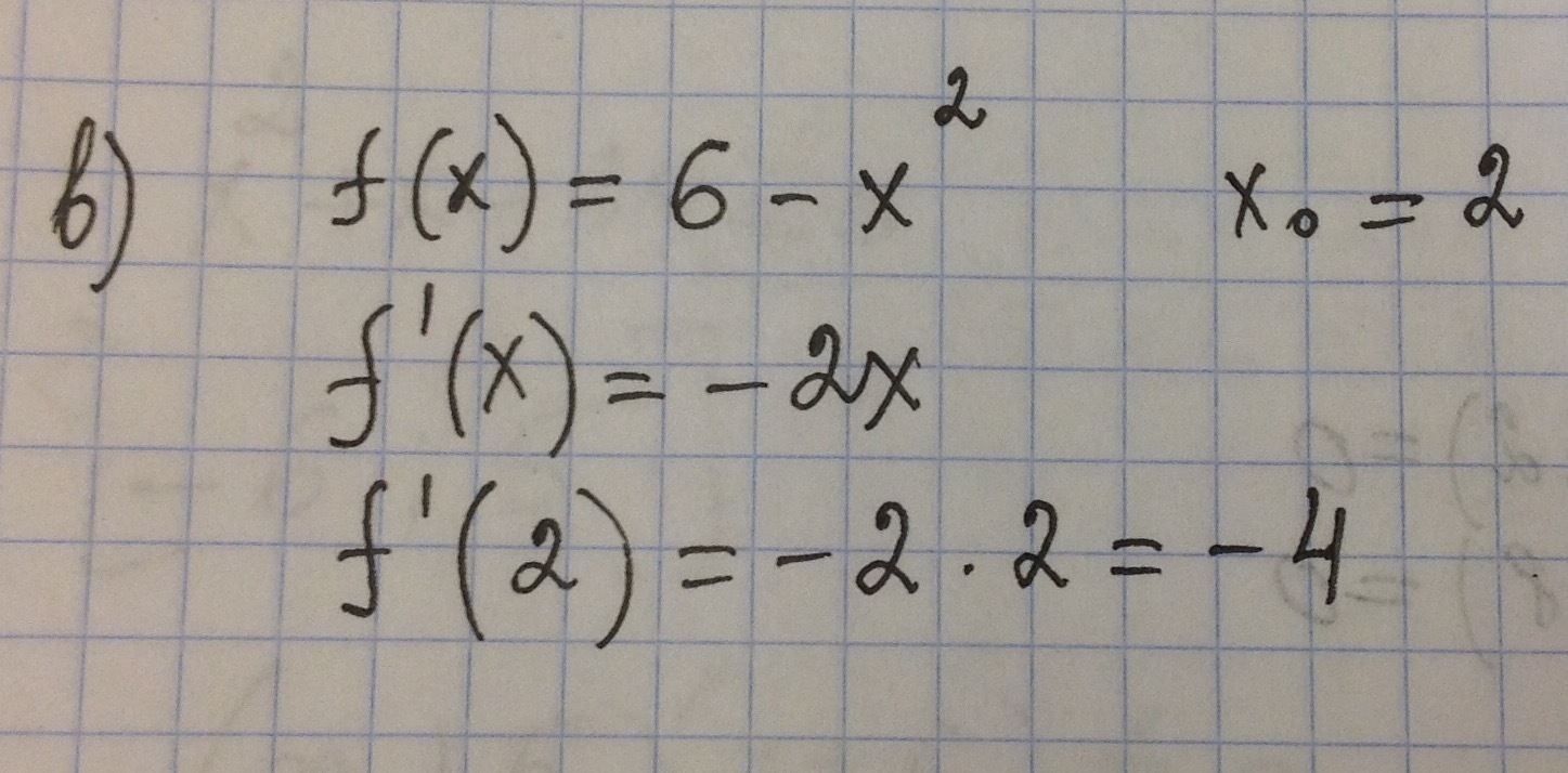
f(x)= 6-x²
f'(x)= -2x
f'(2)= -4
f'(x)= -2x
f'(2)= -4
Ответ дал:
0
можешь полностью расписать решение пожалуйста
Ответ дал:
0
тут нечего расписывать. Производная данной функции делается одним действием
Ответ дал:
0
Когда нашла производную, то подставляешь значения икса в производную
Ответ дал:
0
Спасибо
Ответ дал:
0
Ответ на фото/////////////////
Приложения:

Вас заинтересует
2 года назад
3 года назад
9 лет назад
9 лет назад
9 лет назад
9 лет назад