Ответы
Ответ дал:
0
2. понял
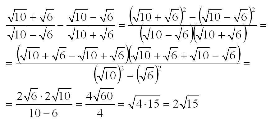
(использовал в решении формулы сокращенного умножения)
Приложения:

Вас заинтересует
2 года назад
2 года назад
3 года назад
3 года назад
9 лет назад
9 лет назад
9 лет назад