Ответы
Ответ дал:
0
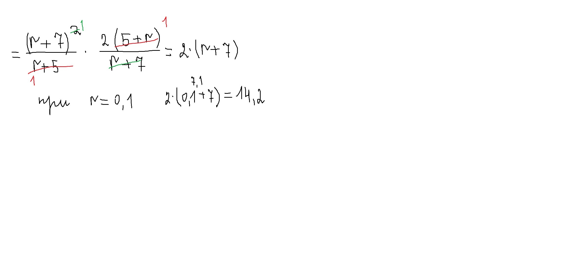
применили формулу а²+2ав+в²=(а+в)² и после сокращения получили:
Приложения:

Вас заинтересует
2 года назад
2 года назад
3 года назад
3 года назад
9 лет назад
9 лет назад