Ответы
Ответ дал:
0
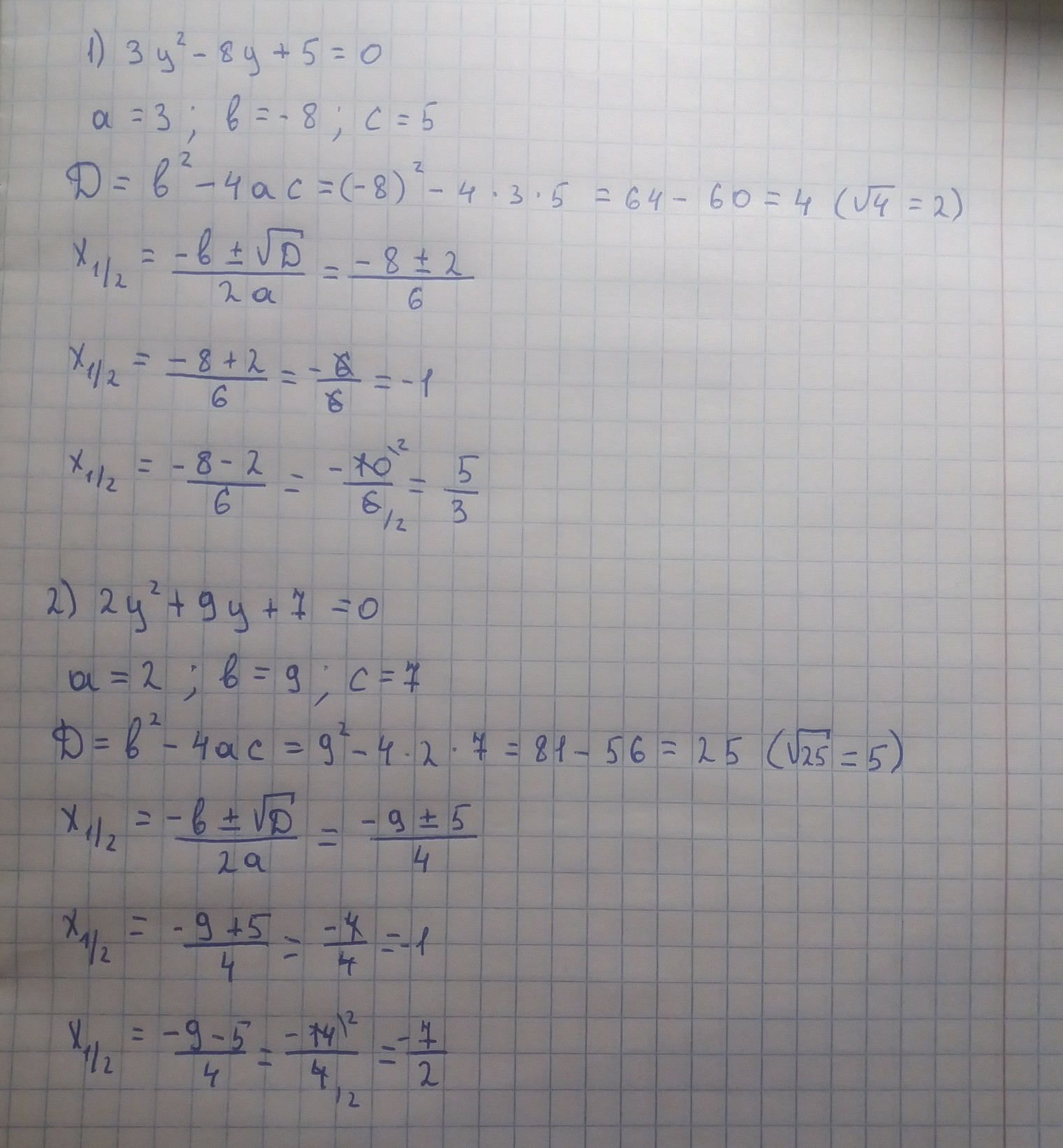
Вот,вроде так.Удачи
Приложения:

Ответ дал:
0
а 3и4
Вас заинтересует
2 года назад
3 года назад
3 года назад
9 лет назад
9 лет назад
9 лет назад
9 лет назад