• Предмет: Математика
  • Автор: alisa581
  • Вопрос задан 8 лет назад

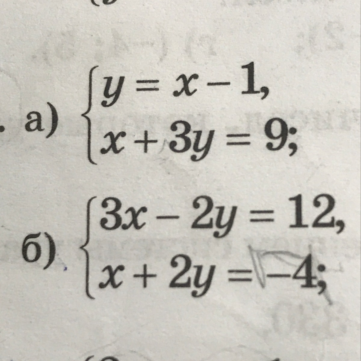
Под буквой a) решите пожалуйста заранее спасибо

Приложения:

Ответы

Ответ дал: sadykovag
0

x+3(x-1)=9

x+3x-3=9

4x=9+3

4x=12

x=12/4

x=3


y=3-1

y=2

Ответ дал: dfahardinova
0

во второе уравнение подставляешь чему равен у. получается х+3(х-1)=9, х+3х-3-9=0, 4х-12=0 ответ 3

Вас заинтересует