Ответы
Ответ дал:
0
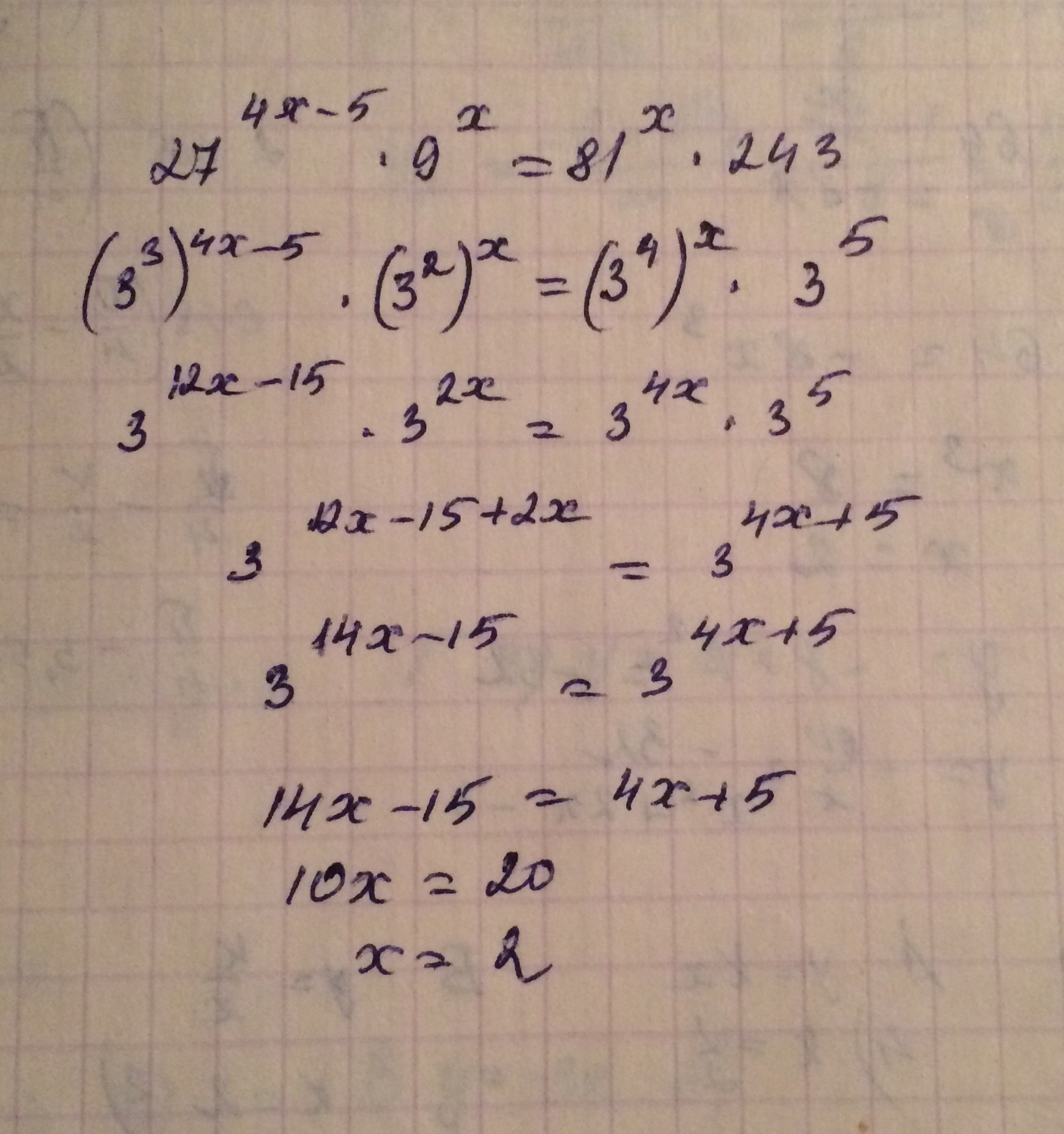
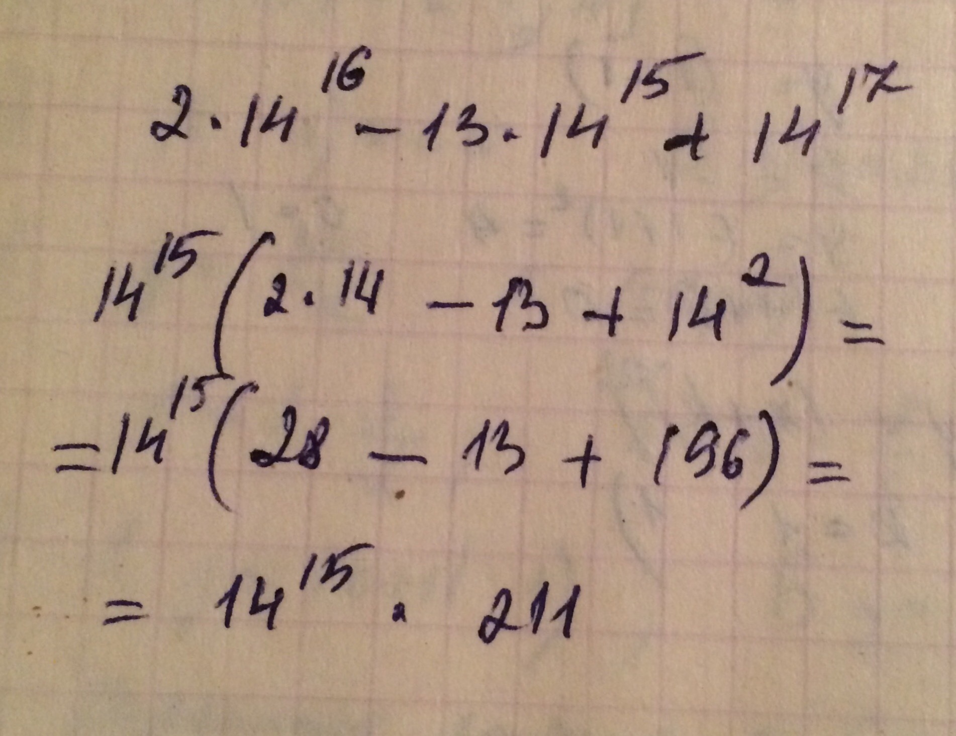
решение на фото. В первом привести основание степени к 3, и тогда показатель степени приравниваем и решаем линейное уравнение. Во втором вынести общий множитель. Выражение кратно 211, что и требовалось доказать.
Приложения:


Вас заинтересует
2 года назад
2 года назад
3 года назад
3 года назад