Докажите,что первую космическую скорость можно рассчитать по формуле v1 = корень из gR ? Пожалуйста срочно надо,не могу решить.
Приложения:
Ответы
Ответ дал:
0
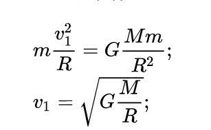
Для вычисления первой космической скорости необходимо рассмотреть равенство центробежной силы и силы тяжести, действующие на тело на орбите.( рис)
Первую космическую скорость можно определить через ускорение свободного падения - так как g = GM / R2, то эта формула справедлива
Первую космическую скорость можно определить через ускорение свободного падения - так как g = GM / R2, то эта формула справедлива
Приложения:
Ответ дал:
0
Пожалуйста,не могли бы вы написать на русском?
Ответ дал:
0
Спасибо большое !!!
Ответ дал:
0
Нема за що
Вас заинтересует
2 года назад
2 года назад
3 года назад
3 года назад
9 лет назад
9 лет назад
10 лет назад