• Предмет: Математика
  • Автор: mashh5
  • Вопрос задан 8 лет назад

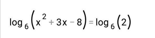
Помогите решить уровнение

Приложения:

Ответы

Ответ дал: khasanovanuria
0

х^2+3х-8-2=0

х^2+3х-10=0

D=3^2-4×-10=9+40=49=7^2

x¹=-3-7:2=-5

x²=-3+7:2=2

Ответ дал: khasanovanuria
0
Просто приравниваем)
Вас заинтересует