Ответы
Ответ дал:
0
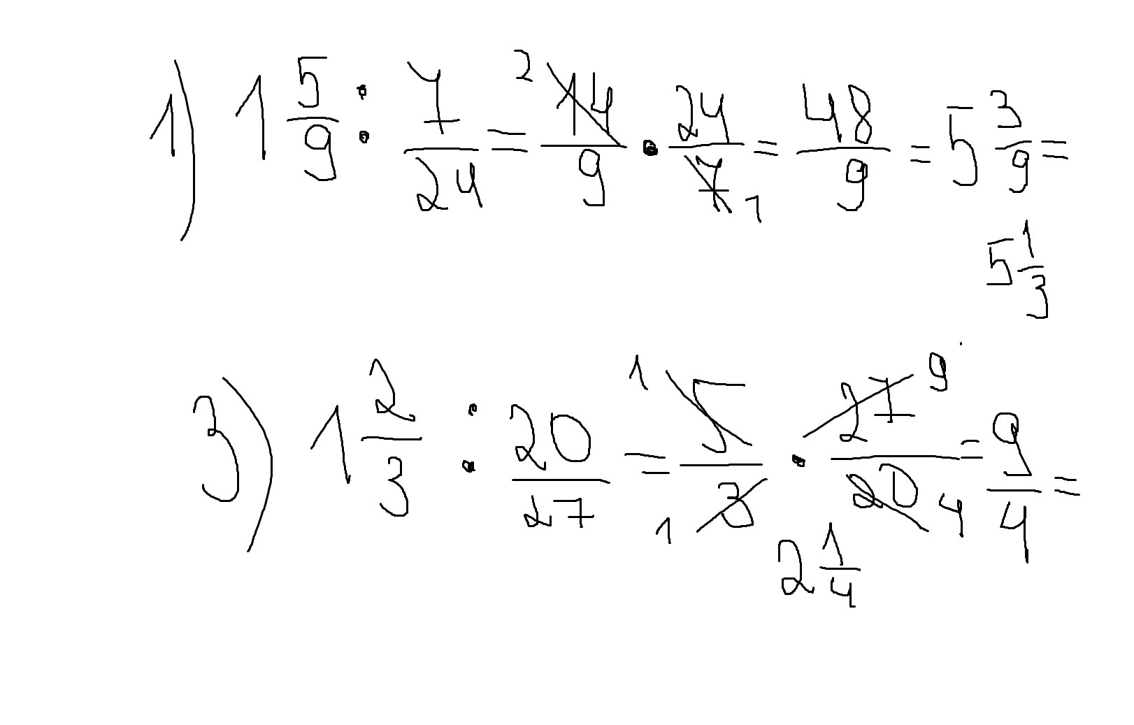
(7- 1 целая 5/9:7/24):20/27=2 целых 1/4
1) 1 целая 5/9:7/24=14/9 * 24/7= 5 целых 1/3
2) 7 - 5 целых 1/3 = 1 целая 2/3
3) 1 целая 2/3 : 20/27 = 5/3 * 27/20 = 2 целых 1/4
Прикрепленный файл с подробным делением в первом и третьем действиях.
Приложения:

Вас заинтересует
2 года назад
2 года назад
3 года назад
3 года назад
9 лет назад
9 лет назад