Ответы
Ответ дал:
0
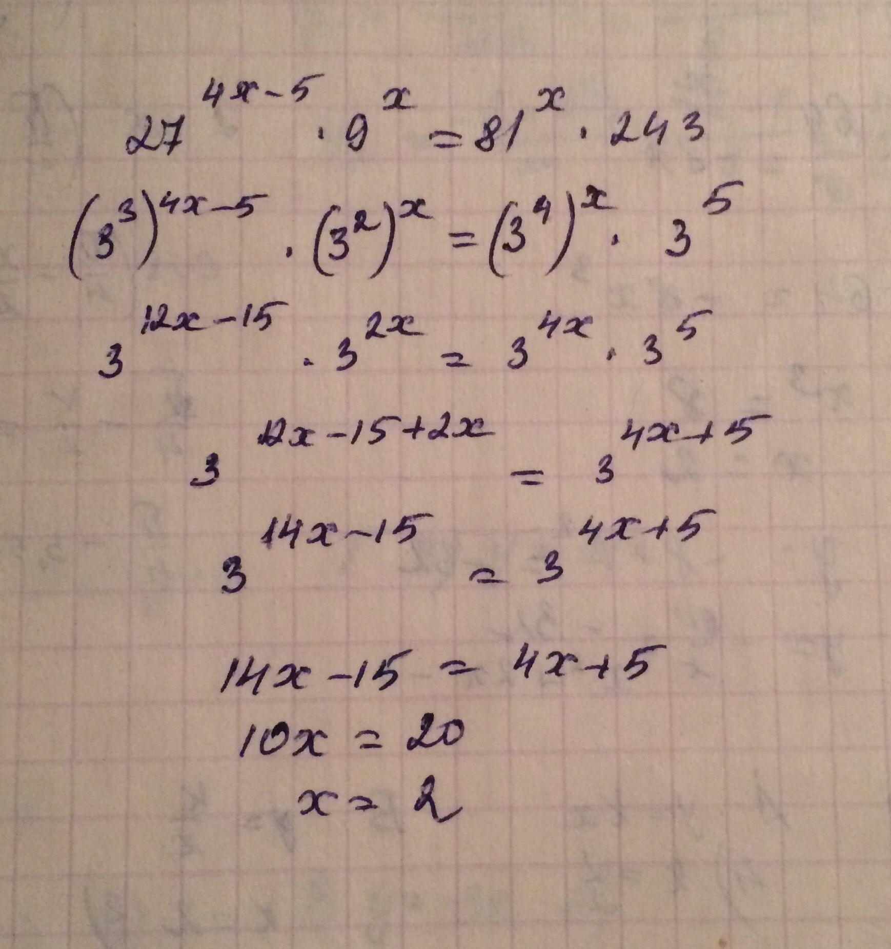
если в уравнении основание степени представить в виде 3, то уравнение сведётся к линейному.
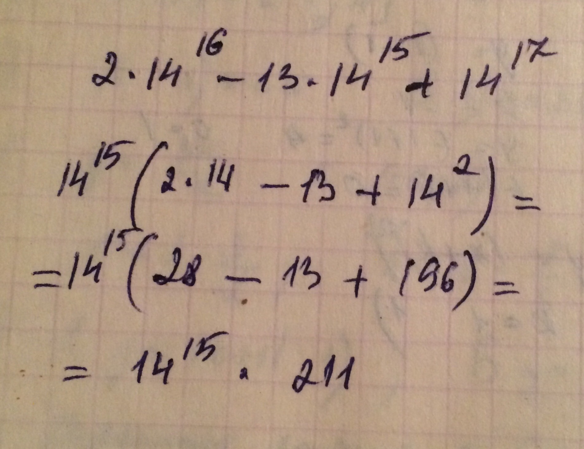
Во втором задании вынести общий множитель за скобку, и увидим, что выражение кратно 212, а значит и делится на 211ч
Приложения:


Вас заинтересует
2 года назад
3 года назад
3 года назад
9 лет назад
9 лет назад
9 лет назад