Ответы
Ответ дал:
0
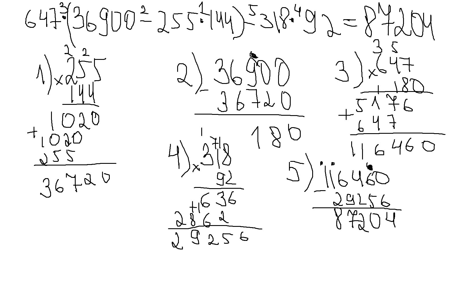
647*(36900-255*144)-318*92=647*(36900-36720)-29256=647*180-29256=116460-29256=87204
Ответ дал:
0
спасибо
Ответ дал:
0
Вот, здесь написано решение.
Приложения:

Вас заинтересует
2 года назад
3 года назад
9 лет назад
9 лет назад
9 лет назад