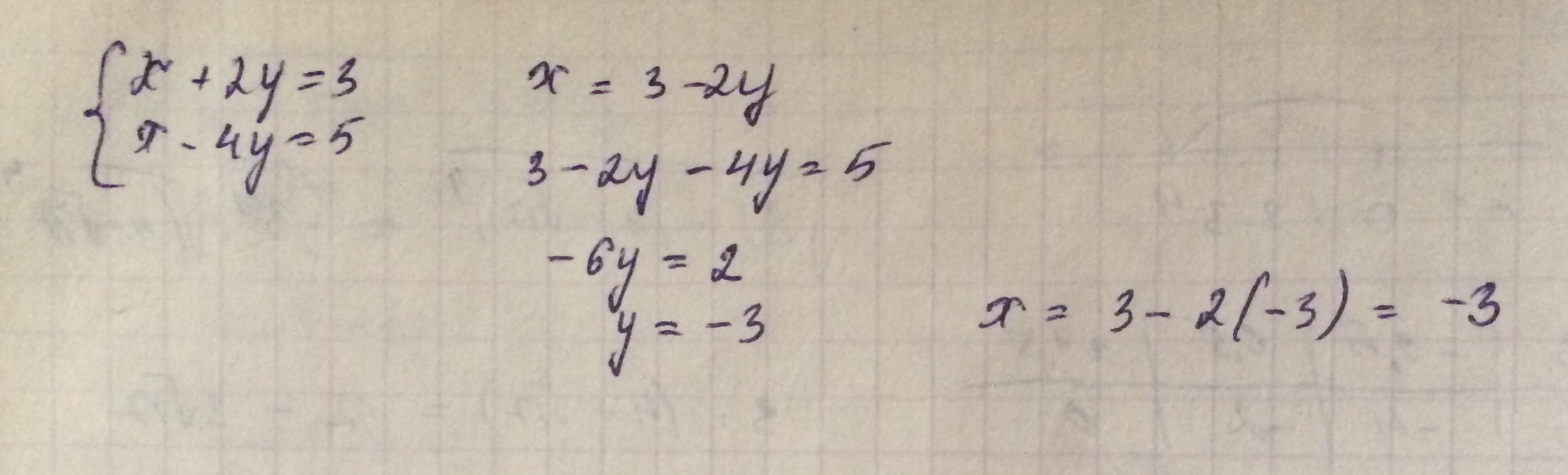
найдите координаты точки пересечения прямых х+2у=3 и х-4у=5 графически!
сможете прикрепить фото?
СРОЧНО!
Ответы
Ответ дал:
0
если графики пересекаются, то они немеют общую точку. Чтобы её найти решаем систему. Решение системы и есть эта точка.
Приложения:

Вас заинтересует
2 года назад
2 года назад
3 года назад
3 года назад
9 лет назад
9 лет назад
9 лет назад