• Предмет: Математика
  • Автор: marjan428
  • Вопрос задан 8 лет назад

помогите пожалуйста срочно на завтра заранее спасибо!

Приложения:

Ответы

Ответ дал: suprunka
0
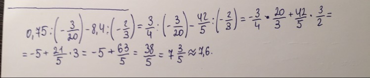
решение на фото
всегда рада помочь)
Приложения:
Ответ дал: marjan428
0
спасибо огромное ❤
Ответ дал: suprunka
0
❤️❤️❤️
Вас заинтересует