• Предмет: Алгебра
  • Автор: Sasha1Loves
  • Вопрос задан 8 лет назад

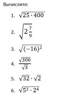
Помогите пожалуйста! Тут довольно просто, у меня времени в обрез.

Приложения:

Ответы

Ответ дал: Evgexa300
0
1. 100
2. Корень 14/3
3. 16
4. 10
Вас заинтересует