• Предмет: Алгебра
  • Автор: botanichka2003
  • Вопрос задан 8 лет назад

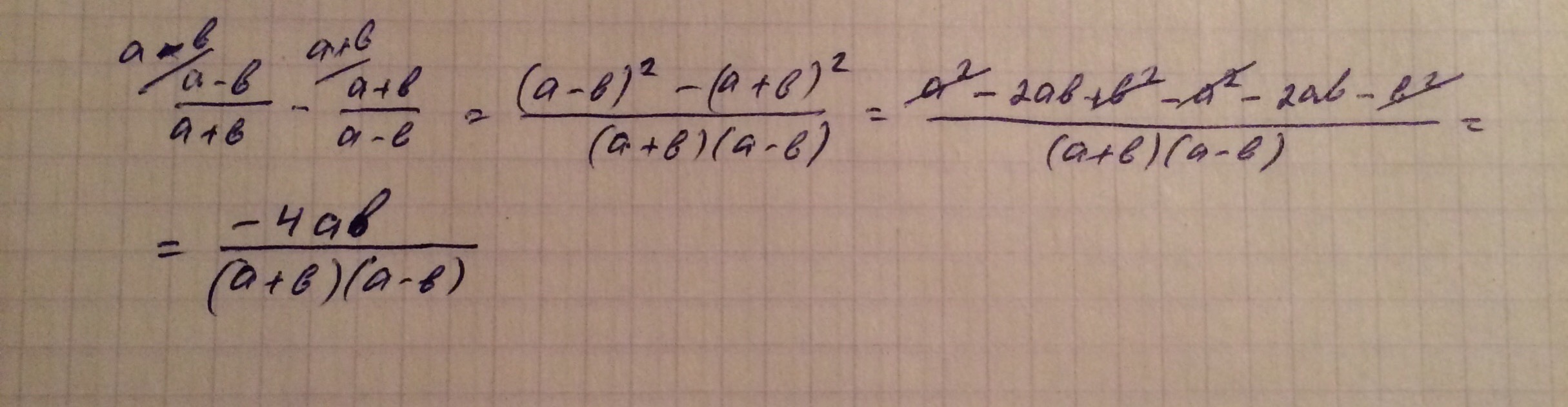
(a-b/a+b - a+b/a-b) выражение нужно сократить

Ответы

Ответ дал: wvpole
0

0 вродь как будет. a2-b2-a2+b2/a2+b2=0/a2+b2=0. P. S. не я неправильно прочёл условие. Ниже правильно

Ответ дал: tatnik12
0

приводим к общему знаменателю, раскрываем скобки

Приложения:
Вас заинтересует