• Предмет: Алгебра
  • Автор: anzhela8volkova
  • Вопрос задан 8 лет назад

Срочно!!! Пожалуйста помогите!!!
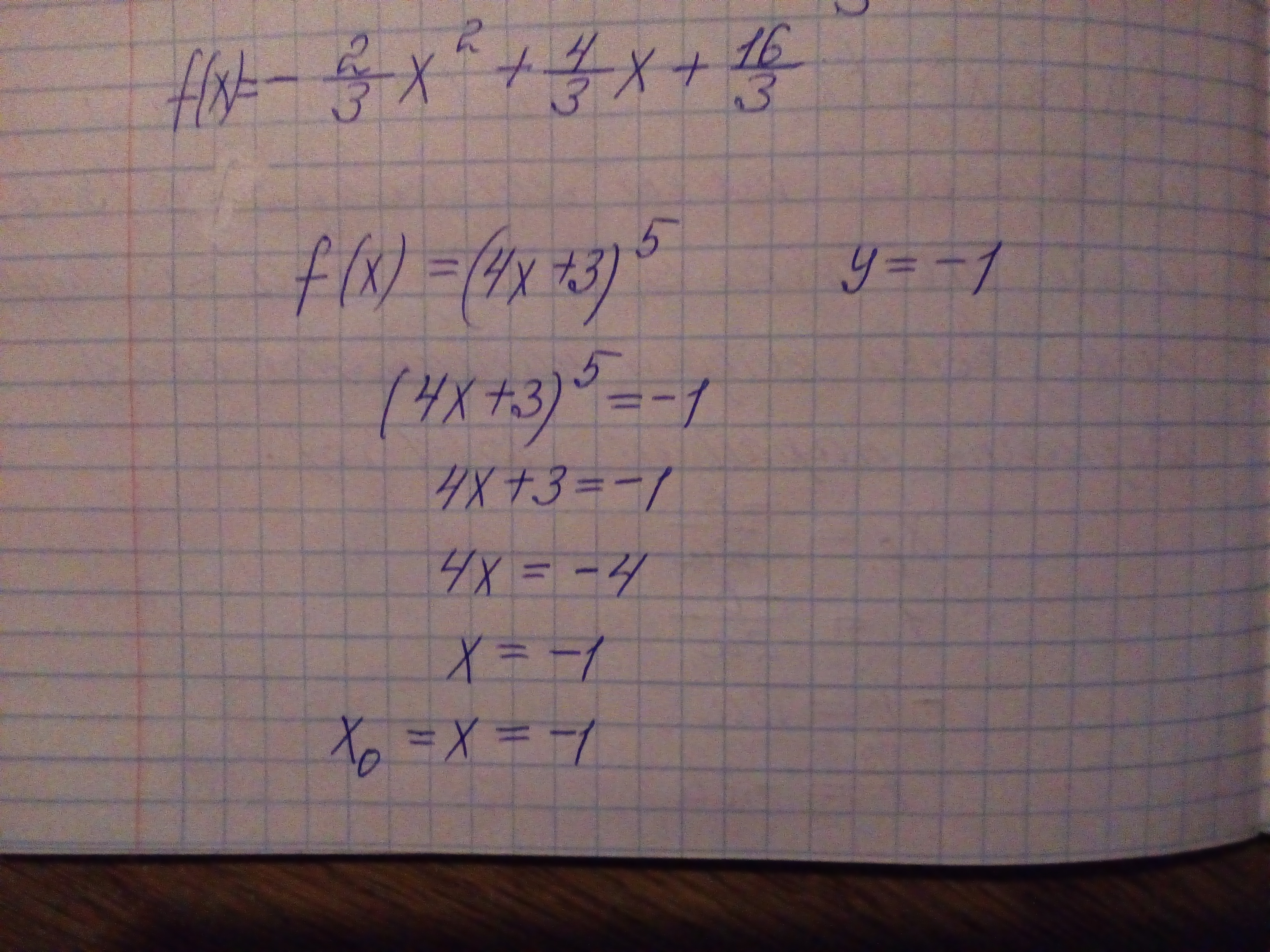
Напишите уравнение касательной к графику функции f(x) =(4x+3)^5 в точке Х нулевое, если Х нулевое - абсцисса точки пересечения графика функции f(x) =(4x+3)^5 и прямой у=-1

Ответы

Ответ дал: m11m
0

!!!!!!!!!!!!!!!!!!!!!!!!

Приложения:
Вас заинтересует