• Предмет: Алгебра
  • Автор: akinfeev22
  • Вопрос задан 8 лет назад

ребят, помогите пожалуйста, даю 20 баллов!!!

Приложения:

Ответы

Ответ дал: Аноним
0

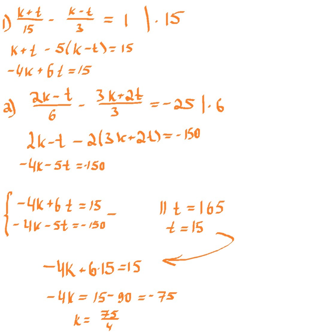
begin{cases}frac{k+t}{15}-frac{k-t}{3}=1 /cdot15\ frac{2k-t}{6}-frac{3k+2t}{3}=-25 /cdot6end{cases}

begin{cases}k+t-5(k-t)=15\ 2k-t-2(3k+2t)=-150end{cases}

begin{cases}k+t-5k+5t=15\ 2k-t-6k-4t=-150end{cases}

begin{cases}-4k+6t=15\ -4k-5t=-150 /:(-1)end{cases}

begin{cases}-4k+6t=15\ 4k+5t=150end{cases}

+______________

11t=165 /:11

t=15


begin{cases}-4k+6t=15\ t=15end{cases}

begin{cases}-4k+6 cdot 15=15\ t=15end{cases}

begin{cases}-4k+90=15\ t=15end{cases}

begin{cases}-4k=15-90\ t=15end{cases}

begin{cases}-4k=-75 /:(-4)\ t=15end{cases}

begin{cases}k=18,75\ t=15end{cases}

Ответ дал: csharp
0

______________________________

Приложения:
Вас заинтересует