• Предмет: Алгебра
  • Автор: Sveta123455
  • Вопрос задан 8 лет назад

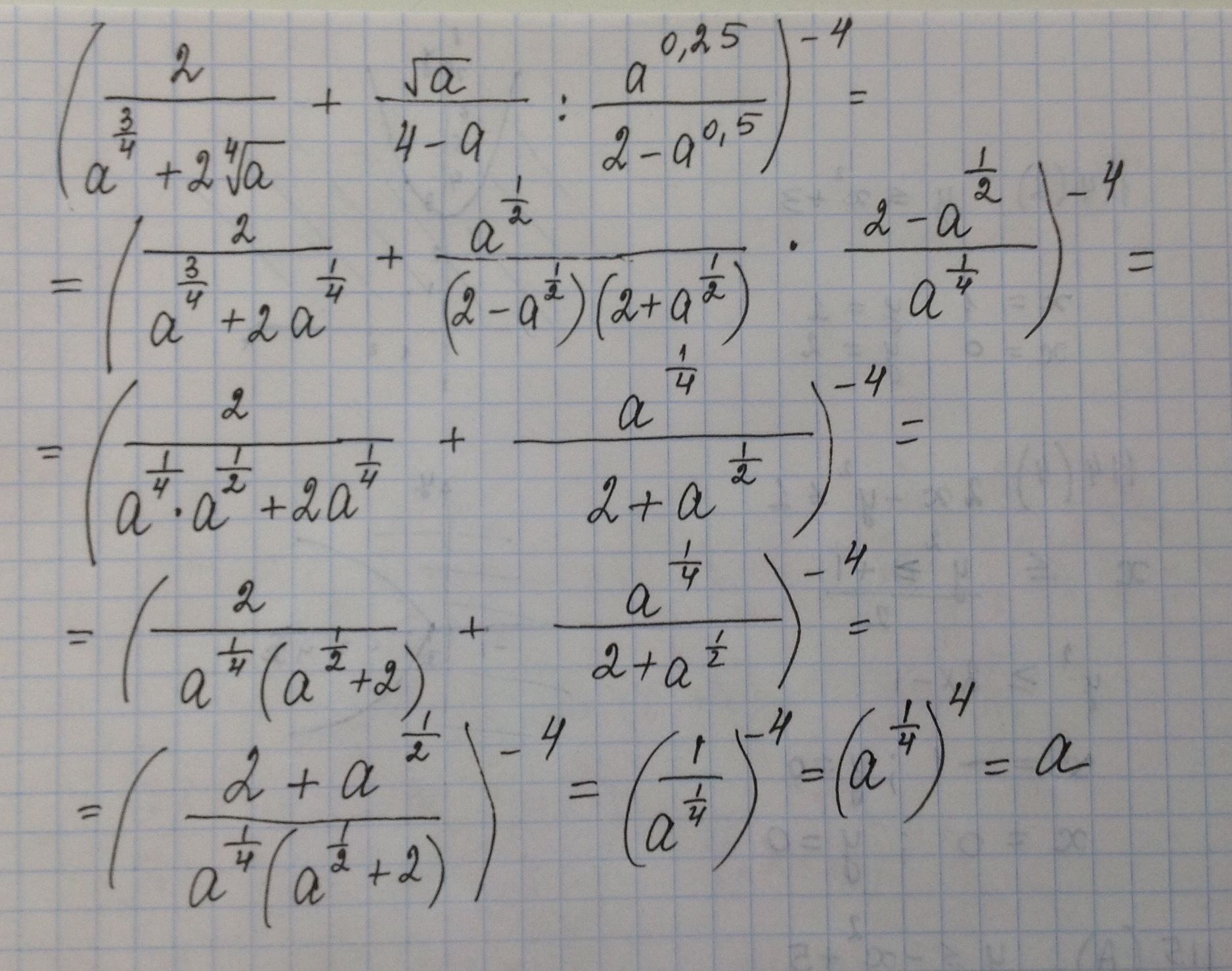
ПОЖАЛУЙСТА, ПОМОГИТЕ!!!!!!!!!!!!
УПРОСТИТЬ ВЫРАЖЕНИЕ
50 БАЛЛОВ ДАЮ!

Приложения:

Ответы

Ответ дал: wiseminerva
0
Дальше я хз как решать))
Приложения:
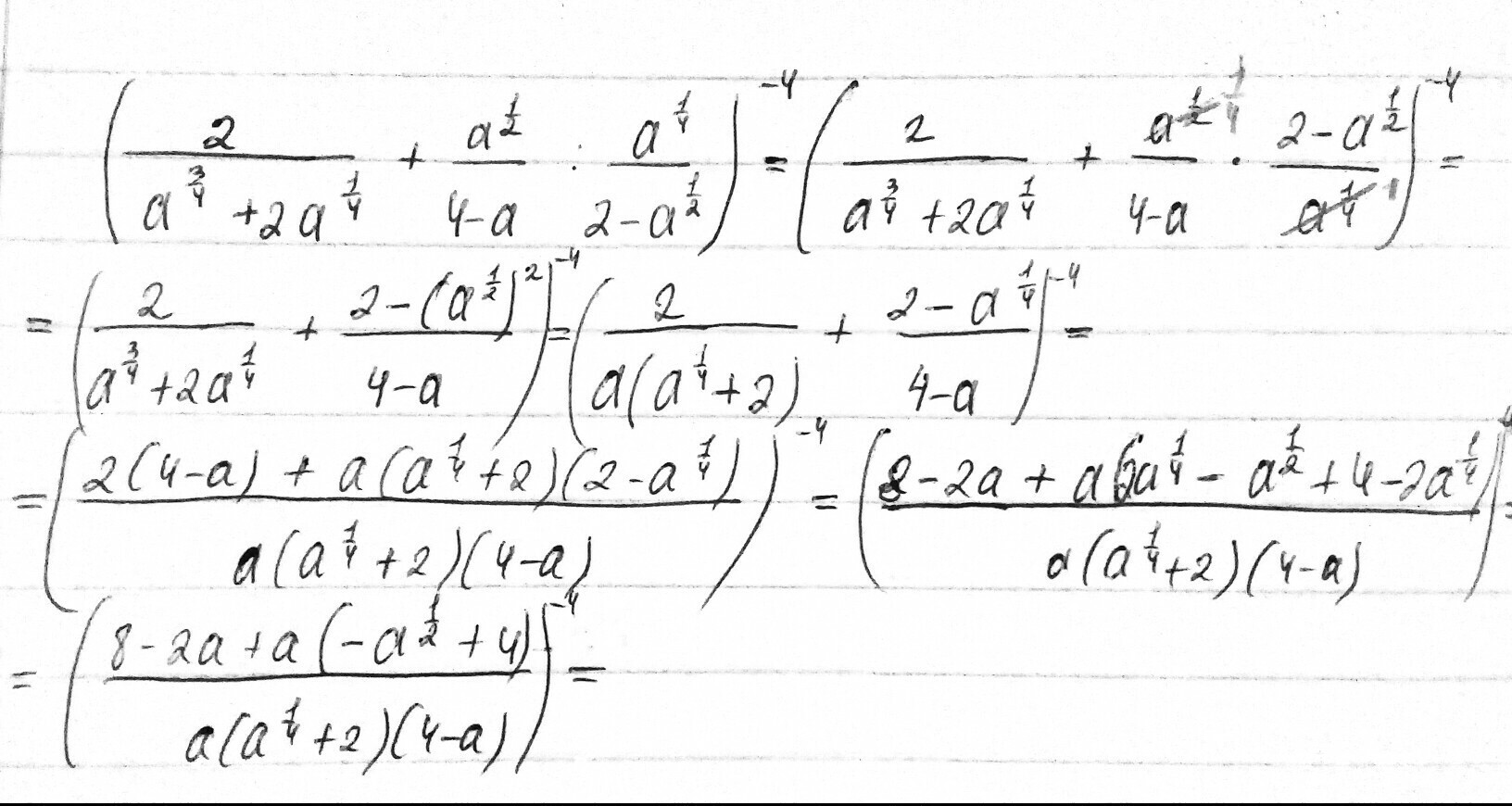
Ответ дал: maksimcat
0

Ответ на фото//////////////

Приложения:
Вас заинтересует