• Предмет: Математика
  • Автор: galina814165
  • Вопрос задан 8 лет назад

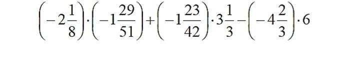
помогите пожалуйста с математикой

Приложения:

Ответы

Ответ дал: table123
0

==-17/8*(-80/51)-65/42+14/6*6=10/3-325/63+28=210/63-325/63+28=-115/63+28=-1и52/63+28=26и11/63

Вас заинтересует