Ответы
Ответ дал:
0
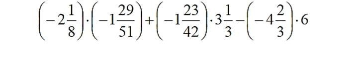
1) (-2 1/8)× (-1 29/51)=3 1/3
2)(-1 23/42)× 3 1/3=-5 10/63
3)(-4 2/3)×6=-28
4)3 1/3+(-5 10/63)=-1 52/63
5)-1 52/63-(-28)=26 11/63
2)(-1 23/42)× 3 1/3=-5 10/63
3)(-4 2/3)×6=-28
4)3 1/3+(-5 10/63)=-1 52/63
5)-1 52/63-(-28)=26 11/63
Вас заинтересует
2 года назад
3 года назад
3 года назад
9 лет назад
9 лет назад
10 лет назад