• Предмет: Математика
  • Автор: 765998
  • Вопрос задан 8 лет назад

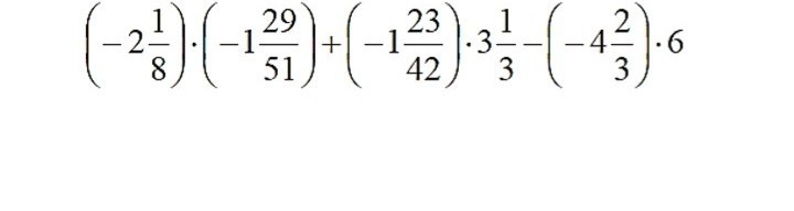
по огите пожалуйста с этим примером, его надо решить по дейстивям

Приложения:

Ответы

Ответ дал: jekadva
0

1) -2 1/8 * (-1 29/51) = -17/8 * (-80/51) = 10/3

2) -1 23/42 * 3 1/3 = -65/42 * 10/3 = -325/63

3) -4 2/3 * 6 = -14/3 * 6 = -28

4) 10/3 + (-325/63) = 210/63 - 325/63 = -115/63

5) -115/63 -(-28) = -115/63 + 28 = -115/63 + 1764/63 = 1649/63 = 26 11/63

ответ: 26 11/26

Вас заинтересует