• Предмет: Математика
  • Автор: rumbler1311
  • Вопрос задан 8 лет назад

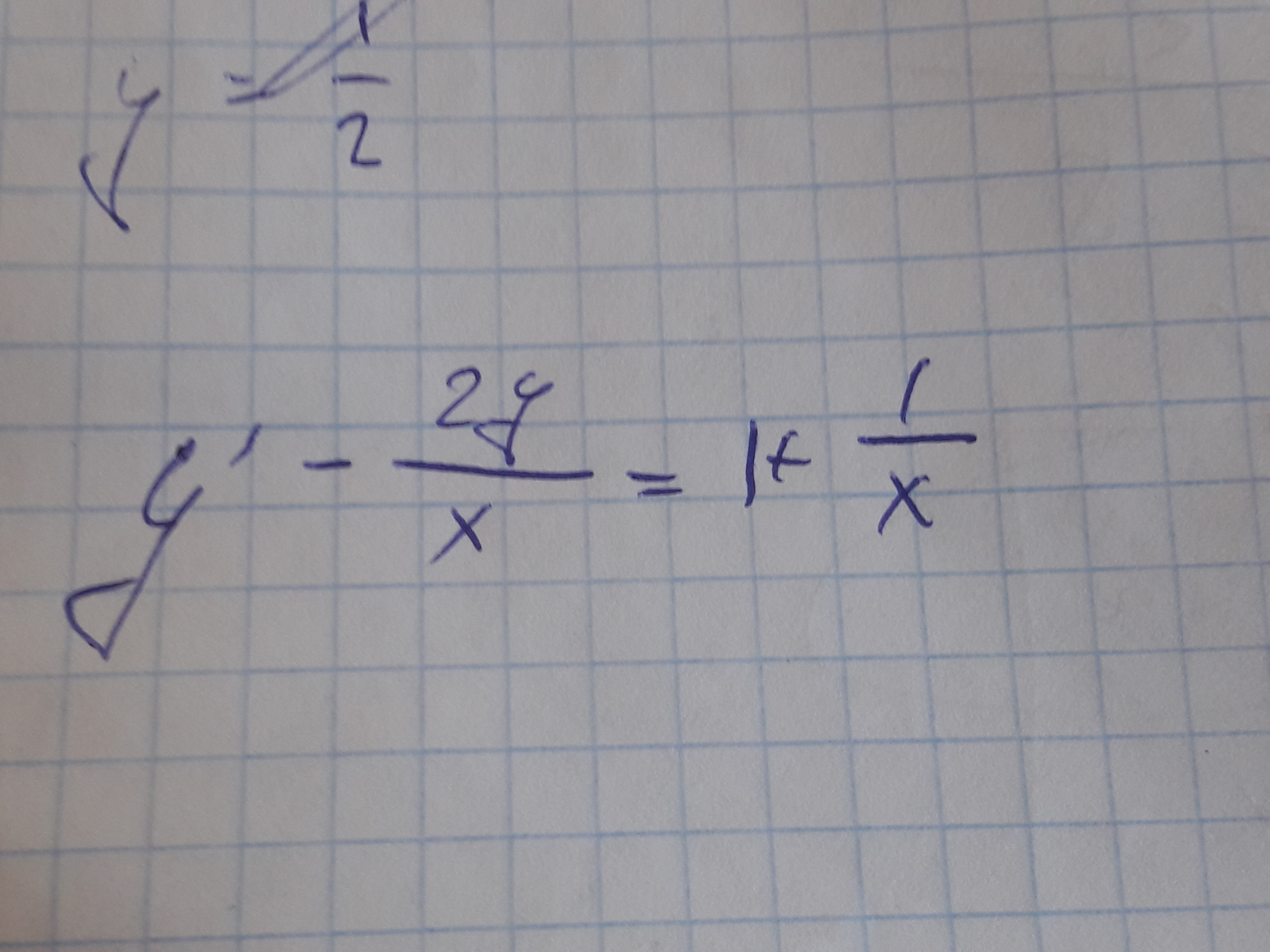
y'-2y,-2y/x=1+1/x
Всё, что дано
Можете делать с этим, что хотите

Приложения:

Ответы

Ответ дал: vedma4ka1604
0

У Вас задано линейное неоднородное дифференциальное уравнение. Его можно решать либо методом вариации постоянной, либо подставновкой вида y=u*v. Воспользуемся вторым методом:

y'-frac{2y}{x}=1+frac{1}{x}

(u*v)'-2*u*v/x=1+1x\\u'v+v'u-2uv/x=1+1/x

u'v+u(v'-2v/x)=1+1/x

Найдём частное решение однородного уравнения, т.е.

v'-2v/x=0\\dv/v=2dx/x\\ln|v|+C_1=2ln|x|+C_2

Возьмём частное решение при C_2-C_1=0, т.е. v=x^2.

Вернёмся к исходному уравнению, и подставим найдённое v:

u'x^2+u*0=1+1/x\\du/dx=(1/x^3+1/x^2)\\u=-frac{1}{2x^2}-frac{1}{x}+C

Тогда, возвращаясь к введённой нами замене, получим:

y=u*v=(-1/2x^2 -1/x + C)x^2=Cx^2-x-0.5

Вас заинтересует