• Предмет: Математика
  • Автор: hasandomen12345
  • Вопрос задан 8 лет назад

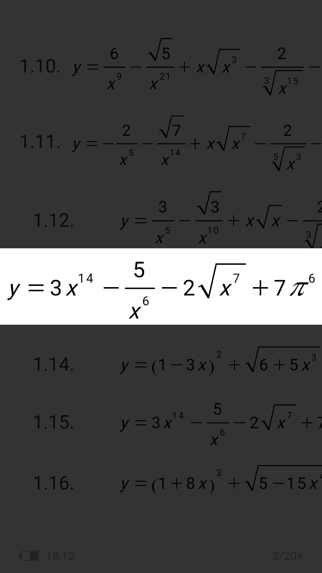
Найти производную функции.
Можете с полным решение пж

Приложения:

Ответы

Ответ дал: as11111
0

y'=(3x^{14} -5x^{-6}-2x^{frac{7}{2} }+7n^{6})'

=(3x^{14})' -(5x^{-6})'-(2x^{frac{7}{2} })'+(7n^{6})'

=42x^{13} +30x^{-7}-7x^{frac{5}{2} }+0

42x^{13}+frac{30}{x^{7}} -7sqrt{x^{5}}

Ответ дал: hasandomen12345
0
Спасибо
Вас заинтересует