Решите срочно вот эти задачи я очень вас прошу я пытался найти как их решать ну выходили со всем другие мне нужно сегодня!Дам 90 баллов
Приложения:

Ответы
Ответ дал:
0
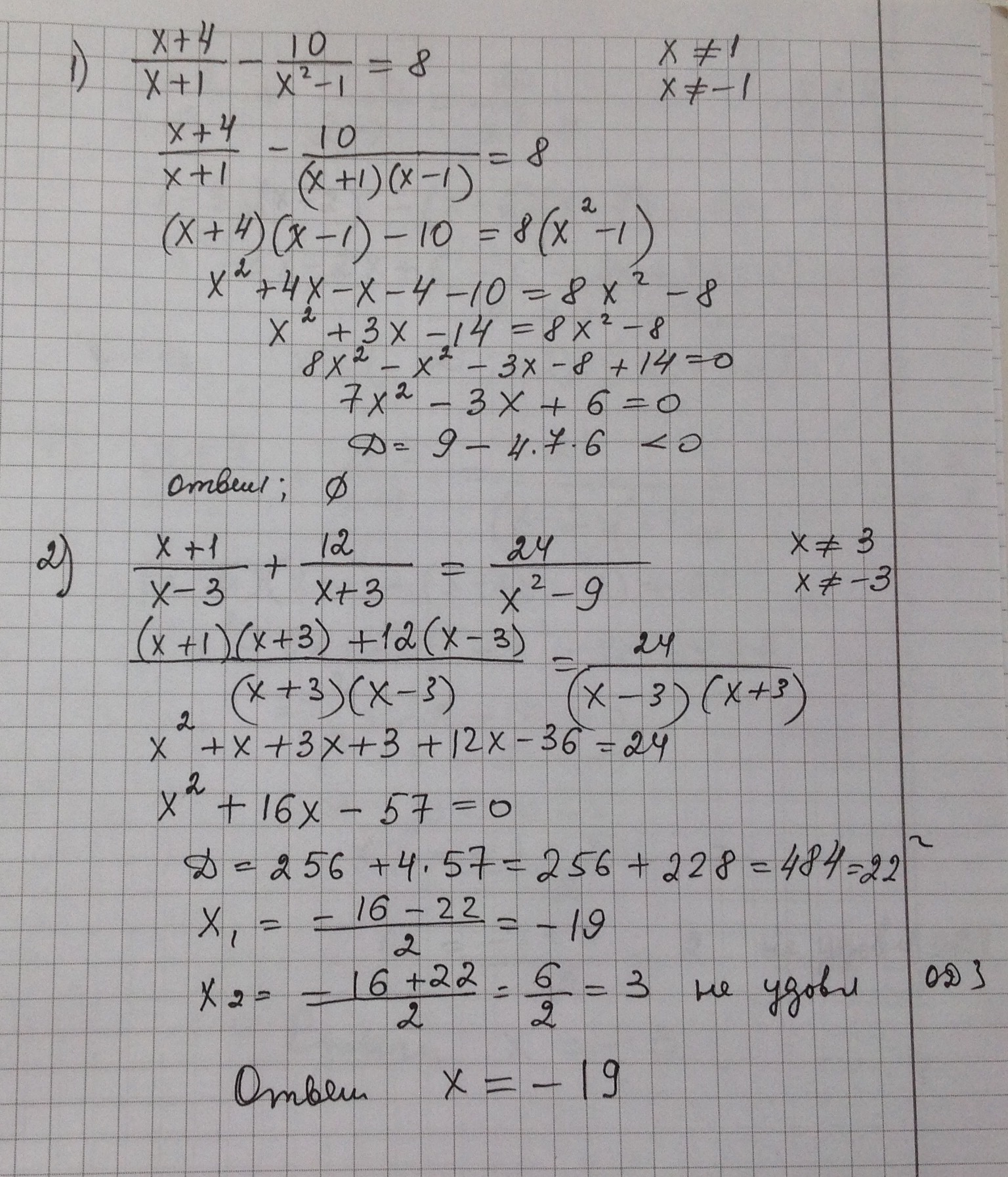
Ответ на фото/////////////
Приложения:


Ответ дал:
0
спасибо большое ты меня спасла от двойки
Ответ дал:
0
если что сорри спас я прост не смог отличить
Вас заинтересует
2 года назад
2 года назад
3 года назад
3 года назад
9 лет назад
9 лет назад
9 лет назад