• Предмет: Математика
  • Автор: zhenyaovsyannip6o29q
  • Вопрос задан 8 лет назад

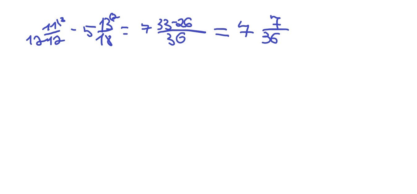
12 целых 11/12-5 целых 13/18

Ответы

Ответ дал: artemka20050904
0

7 целых 7/32

Получается мы вычитаем целые числа затем находим НОК - 32, делим это на знаменатель и умножаем на числитель


Ответ дал: stevebucky
0

написала в паскале

надеюсь, понятно

Приложения:
Ответ дал: stevebucky
0
ой, тьфу, в паинте
Ответ дал: artemka20050904
0
Да, спасибо
Ответ дал: stevebucky
0
отметь пожалуйста как лучший ответ
Вас заинтересует